En este documento, se muestra cómo comenzar a usar la ciencia de datos a gran escala con R enGoogle Cloud. Esto está dirigido a aquellos usuarios que tengan experiencia con R y con notebooks de Jupyter, y que se sientan cómodos con SQL.
En este documento, nos enfocamos en realizar análisis de datos exploratorios con instancias de Vertex AI Workbench y BigQuery. Puedes encontrar el código complementario en un notebook de Jupyter en GitHub.
Descripción general
R es uno de los lenguajes de programación que más se usan para el modelado estadístico. Tiene una gran comunidad activa de científicos de datos y profesionales del aprendizaje automático (AA). Con más de 20,000 paquetes en el repositorio de código abierto de la Red integral de archivos R (CRAN), R tiene herramientas para todas las aplicaciones de análisis de datos estadísticos, AA y visualización. R experimentó un crecimiento continuo en las últimas dos décadas debido a la expresividad de su sintaxis y a través de la amplitud de sus datos y las bibliotecas del AA.
Como científico de datos, es posible que desees saber cómo puedes usar tu conjunto de habilidades con R y cómo también puedes aprovechar las ventajas de los servicios de nube completamente administrados y escalables para la ciencia de datos.
Arquitectura
En este instructivo, usarás instancias de Vertex AI Workbench como los entornos de ciencia de datos para realizar análisis de datos exploratorio (EDA). Usarás R en los datos que extraigas en este instructivo de BigQuery, el almacén de datos en la nube sin servidores, altamente escalable y rentable de Google. Después de analizar y procesar los datos, los datos transformados se almacenan en Cloud Storage para otras posibles tareas de AA. Este flujo se muestra en el siguiente diagrama:

Datos de ejemplo
Los datos de ejemplo de este documento son el conjunto de datos de viajes en taxi de la ciudad de Nueva York de BigQuery.
Este conjunto de datos públicos incluye información sobre los millones de viajes en taxi que se realizan en la ciudad de Nueva York cada año. En este documento, usarás los datos de 2022, que se encuentran en la tabla bigquery-public-data.new_york_taxi_trips.tlc_yellow_trips_2022 de BigQuery.
En este documento, nos enfocaremos en el EDA y en la visualización con R y BigQuery. Los pasos que se indican en este documento te preparan para un objetivo de AA que consiste en predecir el importe de la tarifa de taxi (el importe antes de impuestos, comisiones y otros extras), teniendo en cuenta varios factores sobre el viaje. La creación del modelo en sí no se trata en este documento.
Vertex AI Workbench
Vertex AI Workbench es un servicio que ofrece un entorno integrado de JupyterLab, con las siguientes características:
- Implementación con un solo clic Puedes usar un solo clic para iniciar una instancia de JupyterLab preconfigurada con los últimos frameworks de aprendizaje automático y ciencia de datos.
- Escala según la demanda Puedes comenzar con una configuración de máquina pequeña (por ejemplo, 4 CPU virtuales y 16 GB de RAM, como en este documento) y, cuando tus datos se vuelven demasiado grandes para una máquina, puedes escalarlos si agregas CPU, RAM y GPU.
- Google Cloud Integración. Las instancias de Vertex AI Workbench se integran con servicios como BigQuery. Google Cloud Esta integración facilita el paso de la transferencia de datos al preprocesamiento y la exploración.
- Precios de pago por uso No hay tarifas mínimas ni compromisos anticipados. Para obtener más información, consulta los precios de Vertex AI Workbench. También pagas por los Google Cloud recursos que usas en los notebooks (como BigQuery y Cloud Storage).
Los notebooks de instancias de Vertex AI Workbench se ejecutan en imágenes de VM de aprendizaje profundo. En este documento, se admite la creación de una instancia de Vertex AI Workbench que tenga R 4.3.
Trabaja con BigQuery usando R
BigQuery no requiere administración de infraestructura, por lo que puedes enfocarte en descubrir estadísticas significativas. Puedes analizar grandes cantidades de datos a gran escala y preparar conjuntos de datos para el AA con las capacidades analíticas enriquecidas del SQL de BigQuery.
Para consultar datos de BigQuery con R, puedes usar bigrquery, una biblioteca R de código abierto. El paquete de bigrquery proporciona los siguientes niveles de abstracción, además de BigQuery:
- La API de bajo nivel proporciona wrappers delgados a través de la API de REST de BigQuery subyacente.
- La interfaz de DBI une la API de bajo nivel y hace que trabajar con BigQuery sea similar a trabajar con cualquier otro sistema de base de datos. Esta es la capa más conveniente si deseas ejecutar consultas de SQL en BigQuery o subir menos de 100 MB.
- La interfaz de dbplyr te permite tratar las tablas de BigQuery como marcos de datos en la memoria. Esta es la capa más conveniente si no quieres escribir SQL, sino que prefieres que dbplyr lo haga por ti.
En este documento, se usa la API de bajo nivel de bigrquery, sin necesidad de DBI o dbplyr.
Objetivos
- Crea una instancia de Vertex AI Workbench que sea compatible con R.
- Consultar y analizar datos de BigQuery con la biblioteca R de bigrquery
- Preparar y almacenar datos para el AA en Cloud Storage.
Costos
En este documento, usarás los siguientes componentes facturables de Google Cloud:
- BigQuery
- Vertex AI Workbench instances. You are also charged for resources used within notebooks, including compute resources, BigQuery, and API requests.
- Cloud Storage
Para obtener una estimación de costos en función del uso previsto,
usa la calculadora de precios.
Antes de comenzar
- Sign in to your Google Cloud account. If you're new to Google Cloud, create an account to evaluate how our products perform in real-world scenarios. New customers also get $300 in free credits to run, test, and deploy workloads.
-
In the Google Cloud console, on the project selector page, select or create a Google Cloud project.
Roles required to select or create a project
- Select a project: Selecting a project doesn't require a specific IAM role—you can select any project that you've been granted a role on.
-
Create a project: To create a project, you need the Project Creator role
(
roles/resourcemanager.projectCreator), which contains theresourcemanager.projects.createpermission. Learn how to grant roles.
-
Verify that billing is enabled for your Google Cloud project.
-
Enable the Compute Engine API.
Roles required to enable APIs
To enable APIs, you need the Service Usage Admin IAM role (
roles/serviceusage.serviceUsageAdmin), which contains theserviceusage.services.enablepermission. Learn how to grant roles. -
In the Google Cloud console, on the project selector page, select or create a Google Cloud project.
Roles required to select or create a project
- Select a project: Selecting a project doesn't require a specific IAM role—you can select any project that you've been granted a role on.
-
Create a project: To create a project, you need the Project Creator role
(
roles/resourcemanager.projectCreator), which contains theresourcemanager.projects.createpermission. Learn how to grant roles.
-
Verify that billing is enabled for your Google Cloud project.
-
Enable the Compute Engine API.
Roles required to enable APIs
To enable APIs, you need the Service Usage Admin IAM role (
roles/serviceusage.serviceUsageAdmin), which contains theserviceusage.services.enablepermission. Learn how to grant roles. En la consola de Google Cloud , ve a la página Workbench.
En la pestaña Instancias, haz clic en Crear nueva.
En la ventana Instancia nueva, haz clic en Crear. Para esta explicación, conserva todos los valores predeterminados.
La instancia de Vertex AI Workbench puede tardar entre 2 y 3 minutos en iniciarse. Cuando esté lista, la instancia aparecerá automáticamente en el panel Instancias de notebook y se mostrará un vínculo Abrir JupyterLab junto al nombre de la instancia. Si el vínculo para abrir JupyterLab no aparece en la lista después de unos minutos, actualiza la página.
En la lista de instancias, haz clic en Abrir Jupyterlab. Esto abrirá el entorno de JupyterLab en otra pestaña del navegador.
En el entorno de JupyterLab, haz clic en New Launcher y, luego, en la pestaña Launcher, haz clic en Terminal.
En el panel de la terminal, instala R:
conda create -n r conda activate r conda install -c r r-essentials r-base=4.3.2Durante la instalación, cada vez que se te solicite continuar, escribe
y. La instalación puede tardar unos minutos en completarse. Cuando se completa la instalación, el resultado es similar al siguiente:done Executing transaction: done ® jupyter@instance-INSTANCE_NUMBER:~$Aquí, INSTANCE_NUMBER es el número único que se asigna a tu instancia de Vertex AI Workbench.
Una vez que los comandos terminen de ejecutarse en la terminal, actualiza la página del navegador y, luego, abre el selector haciendo clic en Nuevo selector.
En la pestaña Launcher, se muestran opciones para iniciar R en un notebook o en la consola, y para crear un archivo R.
Haz clic en la pestaña Terminal y, luego, clona el repositorio de GitHub vertex-ai-samples:
git clone https://github.com/GoogleCloudPlatform/vertex-ai-samples.gitCuando el comando finalice, verás la carpeta
vertex-ai-samplesen el panel del navegador de archivos del entorno de JupyterLab.En el navegador de archivos, abre
vertex-ai-samples>notebooks>community>exploratory_data_analysis. Verás el notebookeda_with_r_and_bigquery.ipynb.En el navegador de archivos, abre el notebook
eda_with_r_and_bigquery.ipynb.En este notebook, se explica el análisis de datos exploratorios con R y BigQuery. En el resto de este documento, trabajarás en el notebook y ejecutarás el código que ves dentro del notebook de Jupyter.
Verifica la versión de R que usa el notebook:
versionEl campo
version.stringen el resultado debería mostrarR version 4.3.2, que instalaste en la sección anterior.Verifica e instala los paquetes de R necesarios si aún no están disponibles en la sesión actual:
# List the necessary packages needed_packages <- c("dplyr", "ggplot2", "bigrquery") # Check if packages are installed installed_packages <- .packages(all.available = TRUE) missing_packages <- needed_packages[!(needed_packages %in% installed_packages)] # If any packages are missing, install them if (length(missing_packages) > 0) { install.packages(missing_packages) }Carga los paquetes obligatorios:
# Load the required packages lapply(needed_packages, library, character.only = TRUE)Autentica
bigrquerymediante la autenticación fuera de banda:bq_auth(use_oob = True)Reemplaza
[YOUR-PROJECT-ID]por el nombre del proyecto que deseas usar para este notebook:# Set the project ID PROJECT_ID <- "[YOUR-PROJECT-ID]"Reemplaza
[YOUR-BUCKET-NAME]por un nombre único a nivel global para establecer el nombre del bucket de Cloud Storage en el que se almacenarán los datos de salida:BUCKET_NAME <- "[YOUR-BUCKET-NAME]"Establece la altura y el ancho predeterminados para los gráficos que se generarán más adelante en el notebook:
options(repr.plot.height = 9, repr.plot.width = 16)Crea una instrucción de SQL de BigQuery que extraiga algunos posibles predictores y la variable de predicción de destino para una muestra de viajes. La siguiente consulta filtra algunos valores atípicos o sin sentido en los campos que se leen para el análisis.
sql_query_template <- " SELECT TIMESTAMP_DIFF(dropoff_datetime, pickup_datetime, MINUTE) AS trip_time_minutes, passenger_count, ROUND(trip_distance, 1) AS trip_distance_miles, rate_code, /* Mapping from rate code to type from description column in BigQuery table schema */ (CASE WHEN rate_code = '1.0' THEN 'Standard rate' WHEN rate_code = '2.0' THEN 'JFK' WHEN rate_code = '3.0' THEN 'Newark' WHEN rate_code = '4.0' THEN 'Nassau or Westchester' WHEN rate_code = '5.0' THEN 'Negotiated fare' WHEN rate_code = '6.0' THEN 'Group ride' /* Several NULL AND some '99.0' values go here */ ELSE 'Unknown' END) AS rate_type, fare_amount, CAST(ABS(FARM_FINGERPRINT( CONCAT( CAST(trip_distance AS STRING), CAST(fare_amount AS STRING) ) )) AS STRING) AS key FROM `bigquery-public-data.new_york_taxi_trips.tlc_yellow_trips_2022` /* Filter out some outlier or hard to understand values */ WHERE (TIMESTAMP_DIFF(dropoff_datetime, pickup_datetime, MINUTE) BETWEEN 0.01 AND 120) AND (passenger_count BETWEEN 1 AND 10) AND (trip_distance BETWEEN 0.01 AND 100) AND (fare_amount BETWEEN 0.01 AND 250) LIMIT %s "La columna
keyes un identificador de fila generado que se basa en los valores concatenados de las columnastrip_distanceyfare_amount.Ejecuta la consulta y recupera los mismos datos como un tibble en la memoria, que es similar a un marco de datos.
sample_size <- 10000 sql_query <- sprintf(sql_query_template, sample_size) taxi_trip_data <- bq_table_download( bq_project_query( PROJECT_ID, query = sql_query ) )Visualiza los resultados recuperados:
head(taxi_trip_data)El resultado es una tabla similar a la siguiente imagen:

Los resultados muestran estas columnas de datos de viajes:
- Número entero
trip_time_minutes - Número entero
passenger_count trip_distance_milesdoblerate_codecarácterrate_typecarácterfare_amountdoblekeycarácter
- Número entero
Observa la cantidad de filas y tipos de datos de cada columna:
str(taxi_trip_data)La salida es similar a esta:
tibble [10,000 x 7] (S3: tbl_df/tbl/data.frame) $ trip_time_minutes : int [1:10000] 52 19 2 7 14 16 1 2 2 6 ... $ passenger_count : int [1:10000] 1 1 1 1 1 1 1 1 3 1 ... $ trip_distance_miles: num [1:10000] 31.3 8.9 0.4 0.9 2 0.6 1.7 0.4 0.5 0.2 ... $ rate_code : chr [1:10000] "5.0" "5.0" "5.0" "5.0" ... $ rate_type : chr [1:10000] "Negotiated fare" "Negotiated fare" "Negotiated fare" "Negotiated fare" ... $ fare_amount : num [1:10000] 0.01 0.01 0.01 0.01 0.01 0.01 0.01 0.01 0.01 0.01 ... $ key : chr [1:10000] "1221969315200336084" 5007772749405424948" "3727452358632142755" "77714841168471205370" ...Visualiza un resumen de los datos recuperados:
summary(taxi_trip_data)El resultado es similar a lo siguiente:
trip_time_minutes passenger_count trip_distance_miles rate_code Min. : 1.00 Min. :1.000 Min. : 0.000 Length:10000 1st Qu.: 20.00 1st Qu.:1.000 1st Qu.: 3.700 Class :character Median : 24.00 Median :1.000 Median : 4.800 Mode :character Mean : 30.32 Mean :1.465 Mean : 9.639 3rd Qu.: 39.00 3rd Qu.:2.000 3rd Qu.:17.600 Max. :120.00 Max. :9.000 Max. :43.700 rate_type fare_amount key Length:10000 Min. : 0.01 Length:10000 Class :character 1st Qu.: 16.50 Class :character Mode :character Median : 16.50 Mode :character Mean : 31.22 3rd Qu.: 52.00 Max. :182.50Muestra la distribución de los valores de
fare_amountmediante un histograma:ggplot( data = taxi_trip_data, aes(x = fare_amount) ) + geom_histogram(bins = 100)El gráfico resultante es similar al de la siguiente imagen:

Muestra la relación entre
trip_distanceyfare_amountmediante un gráfico de dispersión:ggplot( data = taxi_trip_data, aes(x = trip_distance_miles, y = fare_amount) ) + geom_point() + geom_smooth(method = "lm")El gráfico resultante es similar al de la siguiente imagen:

En el notebook, crea una función que encuentre la cantidad de viajes y el importe promedio de la tarifa para cada valor de la columna elegida:
get_distinct_value_aggregates <- function(column) { query <- paste0( 'SELECT ', column, ', COUNT(1) AS num_trips, AVG(fare_amount) AS avg_fare_amount FROM `bigquery-public-data.new_york_taxi_trips.tlc_yellow_trips_2022` WHERE (TIMESTAMP_DIFF(dropoff_datetime, pickup_datetime, MINUTE) BETWEEN 0.01 AND 120) AND (passenger_count BETWEEN 1 AND 10) AND (trip_distance BETWEEN 0.01 AND 100) AND (fare_amount BETWEEN 0.01 AND 250) GROUP BY 1 ' ) bq_table_download( bq_project_query( PROJECT_ID, query = query ) ) }Invoca la función con la columna
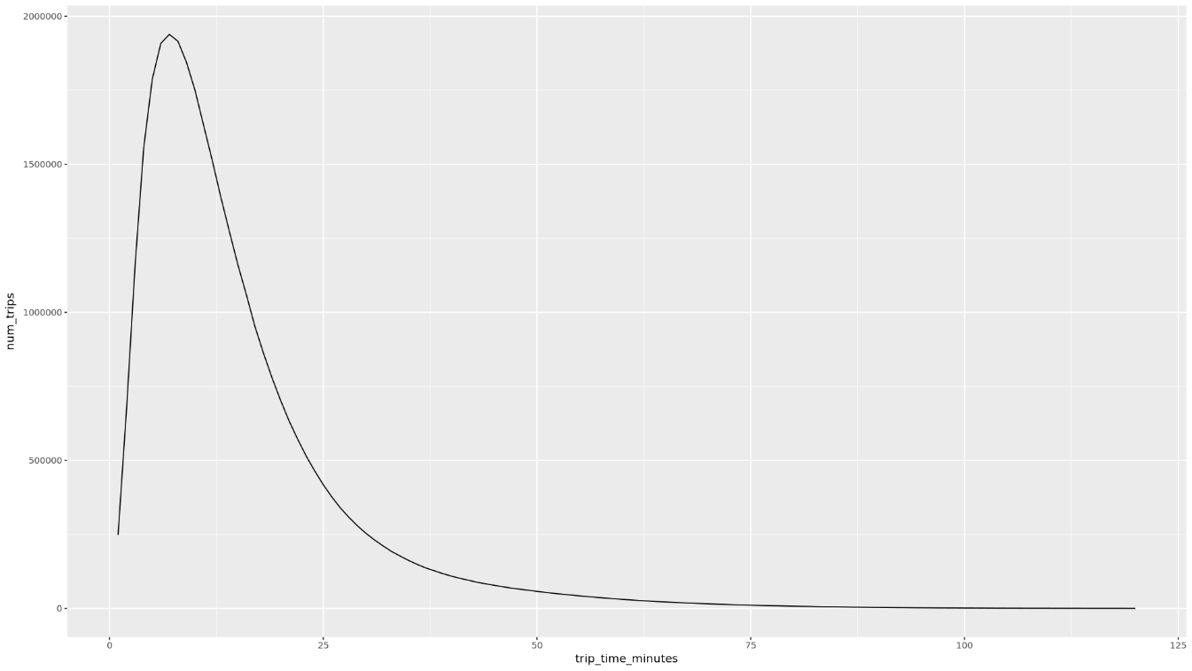
trip_time_minutesdefinida con la función de marcas de tiempo en BigQuery:df <- get_distinct_value_aggregates( 'TIMESTAMP_DIFF(dropoff_datetime, pickup_datetime, MINUTE) AS trip_time_minutes') ggplot( data = df, aes(x = trip_time_minutes, y = num_trips) ) + geom_line() ggplot( data = df, aes(x = trip_time_minutes, y = avg_fare_amount) ) + geom_line()En el notebook, se muestran dos gráficos. En el primer gráfico, se muestra la cantidad de viajes según su duración en minutos. El segundo gráfico muestra el importe promedio de la tarifa de los viajes según el tiempo de viaje.
El resultado del primer comando
ggplotes el siguiente, que muestra la cantidad de viajes según la duración (en minutos):
El resultado del segundo comando
ggplotes el siguiente, que muestra el importe promedio de la tarifa de los viajes según el tiempo de viaje:
Si deseas ver más ejemplos de visualización con otros campos de los datos, consulta el notebook.
En el notebook, carga los datos de entrenamiento y evaluación de BigQuery en R:
# Prepare training and evaluation data from BigQuery sample_size <- 10000 sql_query <- sprintf(sql_query_template, sample_size) # Split data into 75% training, 25% evaluation train_query <- paste('SELECT * FROM (', sql_query, ') WHERE MOD(CAST(key AS INT64), 100) <= 75') eval_query <- paste('SELECT * FROM (', sql_query, ') WHERE MOD(CAST(key AS INT64), 100) > 75') # Load training data to data frame train_data <- bq_table_download( bq_project_query( PROJECT_ID, query = train_query ) ) # Load evaluation data to data frame eval_data <- bq_table_download( bq_project_query( PROJECT_ID, query = eval_query ) )Verifica la cantidad de observaciones en cada conjunto de datos:
print(paste0("Training instances count: ", nrow(train_data))) print(paste0("Evaluation instances count: ", nrow(eval_data)))Aproximadamente el 75% de las instancias totales deben estar en el entrenamiento, y el 25% restante, en la evaluación.
Escribe los datos en un archivo CSV local:
# Write data frames to local CSV files, with headers dir.create(file.path('data'), showWarnings = FALSE) write.table(train_data, "data/train_data.csv", row.names = FALSE, col.names = TRUE, sep = ",") write.table(eval_data, "data/eval_data.csv", row.names = FALSE, col.names = TRUE, sep = ",")Sube los archivos CSV a Cloud Storage con los comandos
gsutilque se pasan al sistema:# Upload CSV data to Cloud Storage by passing gsutil commands to system gcs_url <- paste0("gs://", BUCKET_NAME, "/") command <- paste("gsutil mb", gcs_url) system(command) gcs_data_dir <- paste0("gs://", BUCKET_NAME, "/data") command <- paste("gsutil cp data/*_data.csv", gcs_data_dir) system(command) command <- paste("gsutil ls -l", gcs_data_dir) system(command, intern = TRUE)También puedes subir archivos CSV a Cloud Storage con la biblioteca googleCloudStorageR, que invoca la API de JSON de Cloud Storage.
- In the Google Cloud console, go to the Manage resources page.
- In the project list, select the project that you want to delete, and then click Delete.
- In the dialog, type the project ID, and then click Shut down to delete the project.
- Obtén más información para usar los datos de BigQuery en tus notebooks de R en la documentación de bigrquery.
- Obtén información sobre las recomendaciones para la ingeniería del AA en las reglas del AA..
- Para obtener una descripción general de los principios y las recomendaciones de arquitectura específicos para las cargas de trabajo de IA y AA en Google Cloud, consulta la perspectiva de IA y AA en Well-Architected Framework.
- Para obtener más información sobre las arquitecturas de referencia, los diagramas y las prácticas recomendadas, explora Cloud Architecture Center.
- Jason Davenport | Developers Advocate
- Firat Tekiner | Gerente de producto sénior
Crea una instancia de Vertex AI Workbench
El primer paso es crear una instancia de Vertex AI Workbench que puedas usar para este recorrido.
Abre JupyterLab y, luego, instala R
Para completar el recorrido en el notebook, debes abrir el entorno de JupyterLab, instalar R, clonar el repositorio de GitHub vertex-ai-samples y, luego, abrir el notebook.
Abre el notebook y configura R
Consulta datos de BigQuery
En esta sección del notebook, leerás los resultados de la ejecución de una instrucción de SQL de BigQuery en R y una vista preliminar de los datos.
Visualiza datos con ggplot2
En esta sección del notebook, usarás la biblioteca ggplot2 en R para estudiar algunas de las variables del conjunto de datos de ejemplo.
Procesa los datos en BigQuery desde R
Cuando trabajas con grandes conjuntos de datos, te recomendamos que realices la mayor cantidad de análisis posible (agregación, filtrado, unión, columnas de procesamiento, etc.) en BigQuery y, luego, recuperes los resultados. Es menos eficiente realizar estas tareas en R. Usar BigQuery para el análisis aprovecha la escalabilidad y el rendimiento de BigQuery, y se asegura de que los resultados que se muestren puedan ajustarse a la memoria en R.
Cómo guardar datos como archivos CSV en Cloud Storage
La siguiente tarea es guardar los datos extraídos de BigQuery como archivos CSV en Cloud Storage para que puedas usarlos en más tareas del AA.
También puedes usar bigrquery para escribir datos de R en BigQuery. Por lo general, la escritura en BigQuery se realiza después de completar algún procesamiento previo o generar resultados para su uso en análisis posteriores.
Realiza una limpieza
Para evitar que se apliquen cargos a tu cuenta de Google Cloud por los recursos que usaste en este documento, debes quitarlos.
Borra el proyecto
La manera más fácil de eliminar la facturación es borrar el proyecto que creaste. Si planeas explorar varias arquitecturas, instructivos o guías de inicio rápido, la reutilización de proyectos puede ayudarte a evitar exceder los límites de las cuotas del proyecto.
¿Qué sigue?
Colaboradores
Autor: Alok Pattani | Developer Advocate
Otros colaboradores: