답변 및 후속 질문 확인하기 (기존)

이 페이지에서는 Gemini Enterprise의 답변과 질문이 포함된 검색을 소개하고 메서드 호출을 사용하여 이를 구현하는 방법을 보여줍니다.

답변과 질문이 포함된 검색은 답변 메서드를 기반으로 합니다. 답변 메서드에는 복잡한 쿼리를 처리하는 기능과 같은 몇 가지 중요한 추가 기능도 있습니다.

답변 메서드의 특성

답변 메서드의 주요 특성은 다음과 같습니다.

  • 복잡한 쿼리에 대한 답변을 생성하는 기능. 예를 들어 답변 메서드는 다음과 같은 복합 쿼리를 여러 개의 작은 쿼리로 세분화하여 더 나은 결과를 반환함으로써 더 나은 답변을 제공하는 데 사용할 수 있습니다.

    • '2024년 Google Cloud와 Google Ads의 수익은 각각 얼마인가요?'
    • 'Google은 창립 후 몇 년 만에 10억 달러의 수익을 달성했나요?'
  • 각 차례마다 답변 메서드를 호출하여 멀티턴 대화에서 검색과 답변 생성을 결합하는 기능

  • 검색 메서드와 페어링하여 검색 지연 시간을 줄이는 기능. 검색 메서드와 답변 메서드를 별도로 호출하고 검색 결과와 답변을 각기 다른 시간에 각기 다른 iframe으로 렌더링할 수 있습니다. 즉, 밀리초 이내에 사용자에게 검색 결과(파란색 링크 10개)를 표시할 수 있습니다. 답변이 생성될 때까지 기다리지 않고 검색 결과를 표시할 수 있습니다.

답변과 질문의 기능은 쿼리, 검색, 답변의 세 단계로 나눌 수 있습니다.

답변을 사용해야 하는 경우와 검색을 사용해야 하는 경우

Gemini Enterprise에는 앱을 쿼리하는 데 사용되는 두 가지 방법이 있습니다. 기능이 서로 다르지만 중복되는 부분도 있습니다.

다음과 같은 경우 답변 메서드를 사용하세요.

  • 검색 결과에 대한 AI 생성 답변 (또는 요약)을 원하는 경우

  • 멀티턴 검색, 즉 컨텍스트를 유지하여 후속 질문이 가능하도록 하는 검색을 수행하려는 경우

다음과 같은 경우 검색 메서드를 사용하세요.

  • 생성된 답변이 아닌 검색 결과만 필요한 경우

  • 10개를 초과하는 검색 결과('파란색 링크')를 표시하려는 경우

  • 다음 중 하나에 해당하는 경우:

    • 자체 임베딩
    • 동의어 또는 리디렉션 컨트롤
    • 패싯
    • 사용자 국가 코드

다음과 같은 경우 답변 메서드와 검색 메서드를 함께 사용하세요.

  • 10개를 초과하는 검색 결과를 표시하고 생성된 답변을 원하는 경우

  • 지연 시간 문제가 있으며 생성된 답변이 반환되기 전에 검색 결과를 빠르게 반환하고 표시하려는 경우

쿼리 단계 기능

답변 및 후속 질문 기능은 자연어 쿼리 처리를 지원합니다.

이 섹션에서는 쿼리 문구 수정 및 분류를 위한 다양한 옵션을 설명하고 보여줍니다.

쿼리 문구 수정

쿼리 문구 수정은 기본적으로 사용 설정되어 있습니다. 이 기능은 검색 결과를 개선하기 위해 자동으로 쿼리 문구를 수정하는 가장 좋은 방법을 선택합니다. 이 기능은 문구를 수정하지 않아도 되는 쿼리도 처리할 수 있습니다.

  • 복잡한 쿼리를 여러 쿼리로 세분화하고 동기식 하위 쿼리를 수행합니다.

    예: 복잡한 쿼리가 더 작고 간단한 4개의 쿼리로 세분화됩니다.

    사용자 입력 복잡한 쿼리에서 생성된 하위 쿼리
    Andie Ram과 Arnaud Clément의 직업과 취미에는 어떤 공통점이 있나요?
    • Andie Ram 직업
    • Arnaud Clément 직업
    • Andie Ram 취미
    • Arnaud Clément 취미
  • 멀티턴 쿼리를 합성하여 후속 질문을 컨텍스트를 인식하는 스테이트풀(Stateful)로 설정할 수 있습니다.

    예: 각 차례에서 사용자 입력으로부터 합성된 쿼리를 다음과 같이 표시될 수 있습니다.

    사용자 입력 합성된 쿼리
    1턴: 학교용 노트북 학교용 노트북
    2턴: Mac 아님 Mac이 아닌 학교용 노트북
    3단계: 대형 화면 그리고 무선 키보드와 마우스가 필요함 무선 키보드와 마우스가 있는 Mac이 아닌 학교용 대형 화면 노트북
    4단계: 그리고 백팩 무선 키보드와 마우스가 있는 Mac이 아닌 학교용 대형 화면 노트북과 백팩
  • 긴 쿼리를 간소화하여 검색을 개선합니다.

    예를 들어 긴 쿼리를 간단한 쿼리로 줄입니다.

    사용자 입력 쿼리 간소화
    웹사이트의 '장바구니에 추가' 버튼이 제대로 작동하지 않는 이유를 알고 싶습니다. 사용자가 버튼을 클릭하면 상품이 장바구니에 추가되지 않고 오류 메시지가 표시되는 것 같습니다. 코드를 확인해 보니 올바른 것 같아 문제가 무엇인지 잘 모르겠습니다. 이 문제를 해결하는 것을 도와줄 수 있나요? 웹사이트의 '장바구니에 추가' 버튼이 작동하지 않습니다.
  • 다단계 추론 실행

    다단계 추론은 LLM이 자연어 추론을 사용하여 복잡한 과제를 해결할 수 있도록 하는 ReAct(reason + act) 패러다임을 기반으로 합니다. 기본적으로 최대 단계 수는 5입니다.

    예를 들면 다음과 같습니다.

    사용자 입력 답변을 생성하는 두 단계
    Google은 창립 후 몇 년 만에 10억 달러의 수익을 달성했나요? 1단계:
    [생각]: Google이 언제 설립되었는지 알아야 그 이후의 수익을 쿼리할 수 있습니다.
    [조치] 검색: Google은 언제 설립되었나요?[검색 결과 확인]: '1998년'

    2단계:
    [생각]: 이제 1998년 이후 Google의 연간 수익을 확인하고 처음으로 10억 달러를 초과한 시점을 알아야 합니다.
    [조치] 검색: 1998년 이후 Google 수익
    [검색 결과 확인] 1998년 Google 수익, 1999년 Google 수익…..
    [답변]: Google은 1998년[2] 창립 이후 5년 만인 2003년[1]에 10억 달러 이상의 수익을 달성했습니다.

쿼리 분류

쿼리 분류 옵션은 적대적인 쿼리와 답변을 구하지 않는 쿼리를 식별하는 것입니다. 기본적으로 쿼리 분류 옵션은 사용 중지되어 있습니다.

적대적인 쿼리 및 답변을 구하지 않는 쿼리에 관한 자세한 내용은 적대적인 쿼리 무시요약을 구하지 않는 쿼리 무시를 참조하세요.

검색 단계 기능

검색의 경우 답변 메서드에는 검색 메서드와 동일한 옵션이 있습니다. 예를 들면 다음과 같습니다.

답변 단계 기능

답변 단계에서 검색 결과로부터 답변이 생성될 때 검색 메서드와 동일한 기능을 사용 설정할 수 있습니다. 예를 들면 다음과 같습니다.

  • 답변의 각 문장에 대한 출처를 나타내는 인용을 가져옵니다. 자세한 내용은 인용 포함을 참조하세요.

  • 프롬프트 프리앰블을 사용하여 어조, 스타일, 세부정보 수준 등의 답변을 맞춤설정합니다. 자세한 내용은 커스텀 프리앰블 지정을 참조하세요.

  • 답변 생성에 사용할 모델을 선택합니다. 자세한 내용은 답변 생성 모델 버전 및 수명 주기를 참조하세요.

  • 적대적이거나 답변을 구하지 않는 것으로 분류된 쿼리를 무시할지 선택합니다.

    적대적인 쿼리 및 답변을 구하지 않는 쿼리에 관한 자세한 내용은 적대적인 쿼리 무시요약을 구하지 않는 쿼리 무시를 참조하세요. 답변을 구하지 않는 쿼리는 요약을 구하지 않는 쿼리라고도 합니다.

검색 결과에서 사용할 수 없는 추가적인 답변 문구 기능은 다음과 같습니다.

  • 각 클레임의 지원 점수 가져오기(생성된 답변의 문장). 지원 점수는 클레임이 데이터 스토어의 데이터에서 그라운딩된 정도를 나타내는 [0,1] 범위의 부동 소수점 값입니다. 자세한 내용은 그라운딩 지원 점수 반환을 참조하세요.

  • 답변의 집계된 지원 점수 가져오기. 지원 점수는 데이터 스토어의 데이터에서 답변이 그라운됭된 정도를 나타냅니다. 자세한 내용은 그라운딩 지원 점수 반환을 참조하세요.

  • 올바르게 그라운딩된 답변만 반환합니다. 특정 지원 점수 기준점을 충족하는 답변만 반환하도록 선택할 수 있습니다. 자세한 내용은 올바르게 그라운딩된 답변만 표시를 참조하세요.

  • 개별 사용자에 맞게 대답을 맞춤설정할 수 있도록 쿼리에 맞춤설정 정보를 추가합니다. 자세한 내용은 답변 맞춤설정을 참고하세요.

텍스트 외에 차트나 이미지가 포함된 멀티모달 대답을 받으려면 다음 옵션을 사용할 수 있습니다.

  • 답변에 포함된 데이터를 표시하는 차트와 그래프가 포함된 답변을 얻습니다. 자세한 내용은 답변에 대한 차트 생성을 참고하세요.

  • 데이터 스토어에서 이미지를 가져오는 중입니다. 데이터 스토어에 이미지가 포함되어 있으면 답변 메서드가 답변에 이미지를 반환할 수 있습니다. 인용이 요청되면 데이터 스토어의 이미지가 참조에 반환될 수도 있습니다. 자세한 내용은 데이터 저장소에서 기존 이미지 가져오기를 참고하세요.

검색 및 답변(기본)

다음 명령어는 답변 메서드를 호출하고 생성된 답변과 출처 링크가 포함된 검색 결과 목록을 반환하는 방법을 보여줍니다.

이 명령어는 필수 입력만 표시합니다. 옵션은 기본값으로 유지합니다.

REST

생성된 답변으로 검색하고 결과를 얻으려면 다음 단계를 따르세요.

  1. 다음 curl 명령어를 실행합니다.

    curl -X POST -H "Authorization: Bearer $(gcloud auth print-access-token)" \
      -H "Content-Type: application/json" \
      "https://discoveryengine.googleapis.com/v1/projects/PROJECT_ID/locations/global/collections/default_collection/engines/APP_ID/servingConfigs/default_search:answer" \
      -d '{
            "query": { "text": "QUERY"}
          }'
    

    다음을 바꿉니다.

    • PROJECT_ID: 프로젝트의 ID입니다.
    • APP_ID: 질문할 앱의 ID입니다.
    • QUERY: 질문 또는 검색어를 포함하는 자유 텍스트 문자열입니다. 예: 'BigQuery와 Spanner 데이터베이스를 비교해 주세요.'

Python

이 샘플을 사용해 보기 전에 Gemini Enterprise 빠른 시작: 클라이언트 라이브러리 사용Python 설정 안내를 따르세요. 자세한 내용은 Gemini Enterprise Python API 참고 문서를 참고하세요.

Gemini Enterprise에 인증하려면 애플리케이션 기본 사용자 인증 정보를 설정합니다. 자세한 내용은 로컬 개발 환경의 인증 설정을 참조하세요.

from google.api_core.client_options import ClientOptions
from google.cloud import discoveryengine_v1 as discoveryengine

# TODO(developer): Uncomment these variables before running the sample.
# project_id = "YOUR_PROJECT_ID"
# location = "YOUR_LOCATION"                    # Values: "global", "us", "eu"
# engine_id = "YOUR_APP_ID"


def answer_query_sample(
    project_id: str,
    location: str,
    engine_id: str,
) -> discoveryengine.AnswerQueryResponse:
    #  For more information, refer to:
    # https://cloud.google.com/generative-ai-app-builder/docs/locations#specify_a_multi-region_for_your_data_store
    client_options = (
        ClientOptions(api_endpoint=f"{location}-discoveryengine.googleapis.com")
        if location != "global"
        else None
    )

    # Create a client
    client = discoveryengine.ConversationalSearchServiceClient(
        client_options=client_options
    )

    # The full resource name of the Search serving config
    serving_config = f"projects/{project_id}/locations/{location}/collections/default_collection/engines/{engine_id}/servingConfigs/default_serving_config"

    # Optional: Options for query phase
    # The `query_understanding_spec` below includes all available query phase options.
    # For more details, refer to https://cloud.google.com/generative-ai-app-builder/docs/reference/rest/v1/QueryUnderstandingSpec
    query_understanding_spec = discoveryengine.AnswerQueryRequest.QueryUnderstandingSpec(
        query_rephraser_spec=discoveryengine.AnswerQueryRequest.QueryUnderstandingSpec.QueryRephraserSpec(
            disable=False,  # Optional: Disable query rephraser
            max_rephrase_steps=1,  # Optional: Number of rephrase steps
        ),
        # Optional: Classify query types
        query_classification_spec=discoveryengine.AnswerQueryRequest.QueryUnderstandingSpec.QueryClassificationSpec(
            types=[
                discoveryengine.AnswerQueryRequest.QueryUnderstandingSpec.QueryClassificationSpec.Type.ADVERSARIAL_QUERY,
                discoveryengine.AnswerQueryRequest.QueryUnderstandingSpec.QueryClassificationSpec.Type.NON_ANSWER_SEEKING_QUERY,
            ]  # Options: ADVERSARIAL_QUERY, NON_ANSWER_SEEKING_QUERY or both
        ),
    )

    # Optional: Options for answer phase
    # The `answer_generation_spec` below includes all available query phase options.
    # For more details, refer to https://cloud.google.com/generative-ai-app-builder/docs/reference/rest/v1/AnswerGenerationSpec
    answer_generation_spec = discoveryengine.AnswerQueryRequest.AnswerGenerationSpec(
        ignore_adversarial_query=False,  # Optional: Ignore adversarial query
        ignore_non_answer_seeking_query=False,  # Optional: Ignore non-answer seeking query
        ignore_low_relevant_content=False,  # Optional: Return fallback answer when content is not relevant
        model_spec=discoveryengine.AnswerQueryRequest.AnswerGenerationSpec.ModelSpec(
        # Use the 2026 stable production model for answer generation
        model_version="gemini-2.5-flash/answer_gen/stable",
        ),
        prompt_spec=discoveryengine.AnswerQueryRequest.AnswerGenerationSpec.PromptSpec(
            preamble="Give a detailed answer.",  # Optional: Natural language instructions for customizing the answer.
        ),
        include_citations=True,  # Optional: Include citations in the response
        answer_language_code="en",  # Optional: Language code of the answer
    )

    # Initialize request argument(s)
    request = discoveryengine.AnswerQueryRequest(
        serving_config=serving_config,
        query=discoveryengine.Query(text="What is Vertex AI Search?"),
        session=None,  # Optional: include previous session ID to continue a conversation
        query_understanding_spec=query_understanding_spec,
        answer_generation_spec=answer_generation_spec,
        user_pseudo_id="user-pseudo-id",  # Optional: Add user pseudo-identifier for queries.
    )

    # Make the request
    response = client.answer_query(request)

    # Handle the response
    print(response)

    return response

쿼리 단계 명령어

이 섹션에서는 답변 메서드 호출의 쿼리 단계에서 옵션을 지정하는 방법을 보여줍니다.

검색 및 답변(문구 수정 사용 중지)

다음 명령어는 답변 메서드를 호출하고 생성된 답변과 검색 결과 목록을 반환하는 방법을 보여줍니다. 문구 수정 옵션이 사용 중지되어 답변이 이전 답변과 다를 수 있습니다.

REST

쿼리 문구 수정을 적용하지 않은 생성된 답변으로 검색하고 결과를 얻으려면 다음 단계를 따르세요.

  1. 다음 curl 명령어를 실행합니다.

    curl -X POST -H "Authorization: Bearer $(gcloud auth print-access-token)" \
      -H "Content-Type: application/json" \
      "https://discoveryengine.googleapis.com/v1/projects/PROJECT_ID/locations/global/collections/default_collection/engines/APP_ID/servingConfigs/default_search:answer" \
      -d '{
            "query": { "text": "QUERY"},
            "queryUnderstandingSpec": {
               "queryRephraserSpec": {
                  "disable": true
            }
        }
          }'
    
    

    다음을 바꿉니다.

    • PROJECT_ID: 프로젝트의 ID입니다.
    • APP_ID: 앱의 ID입니다.
    • QUERY: 질문 또는 검색어를 포함하는 자유 텍스트 문자열입니다. 예: 'BigQuery와 Spanner 데이터베이스를 비교해 주세요.'

Python

이 샘플을 사용해 보기 전에 Gemini Enterprise 빠른 시작: 클라이언트 라이브러리 사용Python 설정 안내를 따르세요. 자세한 내용은 Gemini Enterprise Python API 참고 문서를 참고하세요.

Gemini Enterprise에 인증하려면 애플리케이션 기본 사용자 인증 정보를 설정합니다. 자세한 내용은 로컬 개발 환경의 인증 설정을 참조하세요.

from google.api_core.client_options import ClientOptions
from google.cloud import discoveryengine_v1 as discoveryengine

# TODO(developer): Uncomment these variables before running the sample.
# project_id = "YOUR_PROJECT_ID"
# location = "YOUR_LOCATION"                    # Values: "global", "us", "eu"
# engine_id = "YOUR_APP_ID"


def answer_query_sample(
    project_id: str,
    location: str,
    engine_id: str,
) -> discoveryengine.AnswerQueryResponse:
    #  For more information, refer to:
    # https://cloud.google.com/generative-ai-app-builder/docs/locations#specify_a_multi-region_for_your_data_store
    client_options = (
        ClientOptions(api_endpoint=f"{location}-discoveryengine.googleapis.com")
        if location != "global"
        else None
    )

    # Create a client
    client = discoveryengine.ConversationalSearchServiceClient(
        client_options=client_options
    )

    # The full resource name of the Search serving config
    serving_config = f"projects/{project_id}/locations/{location}/collections/default_collection/engines/{engine_id}/servingConfigs/default_serving_config"

    # Optional: Options for query phase
    # The `query_understanding_spec` below includes all available query phase options.
    # For more details, refer to https://cloud.google.com/generative-ai-app-builder/docs/reference/rest/v1/QueryUnderstandingSpec
    query_understanding_spec = discoveryengine.AnswerQueryRequest.QueryUnderstandingSpec(
        query_rephraser_spec=discoveryengine.AnswerQueryRequest.QueryUnderstandingSpec.QueryRephraserSpec(
            disable=False,  # Optional: Disable query rephraser
            max_rephrase_steps=1,  # Optional: Number of rephrase steps
        ),
        # Optional: Classify query types
        query_classification_spec=discoveryengine.AnswerQueryRequest.QueryUnderstandingSpec.QueryClassificationSpec(
            types=[
                discoveryengine.AnswerQueryRequest.QueryUnderstandingSpec.QueryClassificationSpec.Type.ADVERSARIAL_QUERY,
                discoveryengine.AnswerQueryRequest.QueryUnderstandingSpec.QueryClassificationSpec.Type.NON_ANSWER_SEEKING_QUERY,
            ]  # Options: ADVERSARIAL_QUERY, NON_ANSWER_SEEKING_QUERY or both
        ),
    )

    # Optional: Options for answer phase
    # The `answer_generation_spec` below includes all available query phase options.
    # For more details, refer to https://cloud.google.com/generative-ai-app-builder/docs/reference/rest/v1/AnswerGenerationSpec
    answer_generation_spec = discoveryengine.AnswerQueryRequest.AnswerGenerationSpec(
        ignore_adversarial_query=False,  # Optional: Ignore adversarial query
        ignore_non_answer_seeking_query=False,  # Optional: Ignore non-answer seeking query
        ignore_low_relevant_content=False,  # Optional: Return fallback answer when content is not relevant
        model_spec=discoveryengine.AnswerQueryRequest.AnswerGenerationSpec.ModelSpec(
        # Use the 2026 stable production model for answer generation
        model_version="gemini-2.5-flash/answer_gen/stable",
        ),
        prompt_spec=discoveryengine.AnswerQueryRequest.AnswerGenerationSpec.PromptSpec(
            preamble="Give a detailed answer.",  # Optional: Natural language instructions for customizing the answer.
        ),
        include_citations=True,  # Optional: Include citations in the response
        answer_language_code="en",  # Optional: Language code of the answer
    )

    # Initialize request argument(s)
    request = discoveryengine.AnswerQueryRequest(
        serving_config=serving_config,
        query=discoveryengine.Query(text="What is Vertex AI Search?"),
        session=None,  # Optional: include previous session ID to continue a conversation
        query_understanding_spec=query_understanding_spec,
        answer_generation_spec=answer_generation_spec,
        user_pseudo_id="user-pseudo-id",  # Optional: Add user pseudo-identifier for queries.
    )

    # Make the request
    response = client.answer_query(request)

    # Handle the response
    print(response)

    return response

검색 및 답변 (최대 단계 지정)

다음 명령어는 답변 메서드를 호출하고 생성된 답변과 검색 결과 목록을 반환하는 방법을 보여줍니다. 문구 수정 단계 수가 증가했기 때문에 답변이 이전 답변과 다릅니다.

REST

최대 5단계의 문구 수정을 허용하는 생성된 답변으로 검색하고 결과를 얻으려면 다음 단계를 따르세요.

  1. 다음 curl 명령어를 실행합니다.

    curl -X POST -H "Authorization: Bearer $(gcloud auth print-access-token)" \
      -H "Content-Type: application/json" \
      "https://discoveryengine.googleapis.com/v1/projects/PROJECT_ID/locations/global/collections/default_collection/engines/APP_ID/servingConfigs/default_search:answer" \
      -d '{
            "query": { "text": "QUERY"},
            "queryUnderstandingSpec": {
                "queryRephraserSpec": {
                    "maxRephraseSteps": MAX_REPHRASE
                 }
             }
          }'
    

    다음을 바꿉니다.

    • PROJECT_ID: 프로젝트의 ID입니다.
    • APP_ID: 질문할 앱의 ID입니다.
    • QUERY: 질문 또는 검색어를 포함하는 자유 텍스트 문자열입니다. 예: 'BigQuery와 Spanner 데이터베이스를 비교해 주세요.'
    • MAX_REPHRASE: 최대 문구 수정 단계 수입니다. 허용되는 최댓값은 5입니다. 설정되지 않았거나 1보다 작은 값으로 설정된 경우 값은 기본값인 1입니다.

Python

이 샘플을 사용해 보기 전에 Gemini Enterprise 빠른 시작: 클라이언트 라이브러리 사용Python 설정 안내를 따르세요. 자세한 내용은 Gemini Enterprise Python API 참고 문서를 참고하세요.

Gemini Enterprise에 인증하려면 애플리케이션 기본 사용자 인증 정보를 설정합니다. 자세한 내용은 로컬 개발 환경의 인증 설정을 참조하세요.

from google.api_core.client_options import ClientOptions
from google.cloud import discoveryengine_v1 as discoveryengine

# TODO(developer): Uncomment these variables before running the sample.
# project_id = "YOUR_PROJECT_ID"
# location = "YOUR_LOCATION"                    # Values: "global", "us", "eu"
# engine_id = "YOUR_APP_ID"


def answer_query_sample(
    project_id: str,
    location: str,
    engine_id: str,
) -> discoveryengine.AnswerQueryResponse:
    #  For more information, refer to:
    # https://cloud.google.com/generative-ai-app-builder/docs/locations#specify_a_multi-region_for_your_data_store
    client_options = (
        ClientOptions(api_endpoint=f"{location}-discoveryengine.googleapis.com")
        if location != "global"
        else None
    )

    # Create a client
    client = discoveryengine.ConversationalSearchServiceClient(
        client_options=client_options
    )

    # The full resource name of the Search serving config
    serving_config = f"projects/{project_id}/locations/{location}/collections/default_collection/engines/{engine_id}/servingConfigs/default_serving_config"

    # Optional: Options for query phase
    # The `query_understanding_spec` below includes all available query phase options.
    # For more details, refer to https://cloud.google.com/generative-ai-app-builder/docs/reference/rest/v1/QueryUnderstandingSpec
    query_understanding_spec = discoveryengine.AnswerQueryRequest.QueryUnderstandingSpec(
        query_rephraser_spec=discoveryengine.AnswerQueryRequest.QueryUnderstandingSpec.QueryRephraserSpec(
            disable=False,  # Optional: Disable query rephraser
            max_rephrase_steps=1,  # Optional: Number of rephrase steps
        ),
        # Optional: Classify query types
        query_classification_spec=discoveryengine.AnswerQueryRequest.QueryUnderstandingSpec.QueryClassificationSpec(
            types=[
                discoveryengine.AnswerQueryRequest.QueryUnderstandingSpec.QueryClassificationSpec.Type.ADVERSARIAL_QUERY,
                discoveryengine.AnswerQueryRequest.QueryUnderstandingSpec.QueryClassificationSpec.Type.NON_ANSWER_SEEKING_QUERY,
            ]  # Options: ADVERSARIAL_QUERY, NON_ANSWER_SEEKING_QUERY or both
        ),
    )

    # Optional: Options for answer phase
    # The `answer_generation_spec` below includes all available query phase options.
    # For more details, refer to https://cloud.google.com/generative-ai-app-builder/docs/reference/rest/v1/AnswerGenerationSpec
    answer_generation_spec = discoveryengine.AnswerQueryRequest.AnswerGenerationSpec(
        ignore_adversarial_query=False,  # Optional: Ignore adversarial query
        ignore_non_answer_seeking_query=False,  # Optional: Ignore non-answer seeking query
        ignore_low_relevant_content=False,  # Optional: Return fallback answer when content is not relevant
        model_spec=discoveryengine.AnswerQueryRequest.AnswerGenerationSpec.ModelSpec(
        # Use the 2026 stable production model for answer generation
        model_version="gemini-2.5-flash/answer_gen/stable",
        ),
        prompt_spec=discoveryengine.AnswerQueryRequest.AnswerGenerationSpec.PromptSpec(
            preamble="Give a detailed answer.",  # Optional: Natural language instructions for customizing the answer.
        ),
        include_citations=True,  # Optional: Include citations in the response
        answer_language_code="en",  # Optional: Language code of the answer
    )

    # Initialize request argument(s)
    request = discoveryengine.AnswerQueryRequest(
        serving_config=serving_config,
        query=discoveryengine.Query(text="What is Vertex AI Search?"),
        session=None,  # Optional: include previous session ID to continue a conversation
        query_understanding_spec=query_understanding_spec,
        answer_generation_spec=answer_generation_spec,
        user_pseudo_id="user-pseudo-id",  # Optional: Add user pseudo-identifier for queries.
    )

    # Make the request
    response = client.answer_query(request)

    # Handle the response
    print(response)

    return response

쿼리 분류로 검색 및 답변

다음 명령어는 답변 메서드를 호출하여 쿼리가 적대적인 쿼리인지, 답변을 구하지 않는 쿼리인지, 둘 다 아닌지 묻는 방법을 보여줍니다.

대답에는 질문의 분류 유형이 포함되지만 대답 자체는 분류의 영향을 받지 않습니다. 질문 유형에 따라 답변 동작을 변경하려면 답변 단계에서 변경하면 됩니다. 적대적인 쿼리 무시요약 외 탐색 쿼리 무시를 참조하세요.

REST

쿼리가 적대적인 쿼리인지, 답변을 구하지 않는 쿼리인지 확인하려면 다음 단계를 따르세요.

  1. 다음 curl 명령어를 실행합니다.

    curl -X POST -H "Authorization: Bearer $(gcloud auth print-access-token)" \
      -H "Content-Type: application/json" \
      "https://discoveryengine.googleapis.com/v1/projects/PROJECT_ID/locations/global/collections/default_collection/engines/APP_ID/servingConfigs/default_search:answer" \
      -d '{
            "query": { "text": "QUERY"},
            "queryUnderstandingSpec": {
                "queryClassificationSpec": {
                    "types": ["QUERY_CLASSIFICATION_TYPE"]
                 }
             }
          }'
    

    다음을 바꿉니다.

    • PROJECT_ID: 프로젝트의 ID입니다.
    • APP_ID: 질문할 앱의 ID입니다.
    • QUERY: 질문 또는 검색어를 포함하는 자유 텍스트 문자열입니다. 예: 'hello'
    • QUERY_CLASSIFICATION_TYPE: 식별하려는 쿼리 유형입니다(ADVERSARIAL_QUERY, NON_ANSWER_SEEKING_QUERY 또는 둘 다).

Python

이 샘플을 사용해 보기 전에 Gemini Enterprise 빠른 시작: 클라이언트 라이브러리 사용Python 설정 안내를 따르세요. 자세한 내용은 Gemini Enterprise Python API 참고 문서를 참고하세요.

Gemini Enterprise에 인증하려면 애플리케이션 기본 사용자 인증 정보를 설정합니다. 자세한 내용은 로컬 개발 환경의 인증 설정을 참조하세요.

from google.api_core.client_options import ClientOptions
from google.cloud import discoveryengine_v1 as discoveryengine

# TODO(developer): Uncomment these variables before running the sample.
# project_id = "YOUR_PROJECT_ID"
# location = "YOUR_LOCATION"                    # Values: "global", "us", "eu"
# engine_id = "YOUR_APP_ID"


def answer_query_sample(
    project_id: str,
    location: str,
    engine_id: str,
) -> discoveryengine.AnswerQueryResponse:
    #  For more information, refer to:
    # https://cloud.google.com/generative-ai-app-builder/docs/locations#specify_a_multi-region_for_your_data_store
    client_options = (
        ClientOptions(api_endpoint=f"{location}-discoveryengine.googleapis.com")
        if location != "global"
        else None
    )

    # Create a client
    client = discoveryengine.ConversationalSearchServiceClient(
        client_options=client_options
    )

    # The full resource name of the Search serving config
    serving_config = f"projects/{project_id}/locations/{location}/collections/default_collection/engines/{engine_id}/servingConfigs/default_serving_config"

    # Optional: Options for query phase
    # The `query_understanding_spec` below includes all available query phase options.
    # For more details, refer to https://cloud.google.com/generative-ai-app-builder/docs/reference/rest/v1/QueryUnderstandingSpec
    query_understanding_spec = discoveryengine.AnswerQueryRequest.QueryUnderstandingSpec(
        query_rephraser_spec=discoveryengine.AnswerQueryRequest.QueryUnderstandingSpec.QueryRephraserSpec(
            disable=False,  # Optional: Disable query rephraser
            max_rephrase_steps=1,  # Optional: Number of rephrase steps
        ),
        # Optional: Classify query types
        query_classification_spec=discoveryengine.AnswerQueryRequest.QueryUnderstandingSpec.QueryClassificationSpec(
            types=[
                discoveryengine.AnswerQueryRequest.QueryUnderstandingSpec.QueryClassificationSpec.Type.ADVERSARIAL_QUERY,
                discoveryengine.AnswerQueryRequest.QueryUnderstandingSpec.QueryClassificationSpec.Type.NON_ANSWER_SEEKING_QUERY,
            ]  # Options: ADVERSARIAL_QUERY, NON_ANSWER_SEEKING_QUERY or both
        ),
    )

    # Optional: Options for answer phase
    # The `answer_generation_spec` below includes all available query phase options.
    # For more details, refer to https://cloud.google.com/generative-ai-app-builder/docs/reference/rest/v1/AnswerGenerationSpec
    answer_generation_spec = discoveryengine.AnswerQueryRequest.AnswerGenerationSpec(
        ignore_adversarial_query=False,  # Optional: Ignore adversarial query
        ignore_non_answer_seeking_query=False,  # Optional: Ignore non-answer seeking query
        ignore_low_relevant_content=False,  # Optional: Return fallback answer when content is not relevant
        model_spec=discoveryengine.AnswerQueryRequest.AnswerGenerationSpec.ModelSpec(
        # Use the 2026 stable production model for answer generation
        model_version="gemini-2.5-flash/answer_gen/stable",
        ),
        prompt_spec=discoveryengine.AnswerQueryRequest.AnswerGenerationSpec.PromptSpec(
            preamble="Give a detailed answer.",  # Optional: Natural language instructions for customizing the answer.
        ),
        include_citations=True,  # Optional: Include citations in the response
        answer_language_code="en",  # Optional: Language code of the answer
    )

    # Initialize request argument(s)
    request = discoveryengine.AnswerQueryRequest(
        serving_config=serving_config,
        query=discoveryengine.Query(text="What is Vertex AI Search?"),
        session=None,  # Optional: include previous session ID to continue a conversation
        query_understanding_spec=query_understanding_spec,
        answer_generation_spec=answer_generation_spec,
        user_pseudo_id="user-pseudo-id",  # Optional: Add user pseudo-identifier for queries.
    )

    # Make the request
    response = client.answer_query(request)

    # Handle the response
    print(response)

    return response

검색 단계 명령어: 검색 결과 옵션으로 검색하고 답변하기

이 섹션에서는 답변 메서드 호출의 검색 단계 부분에 대한 옵션 지정 방법, 반환되는 최대 문서 수 설정, 부스팅, 필터링 등의 옵션, 자체 검색 결과를 제공할 때 답변을 얻는 방법에 대해 설명합니다.

다음 명령어는 답변 메서드를 호출하고 검색 결과 반환 방법에 관한 다양한 옵션을 지정하는 방법을 보여줍니다. (검색 결과는 답변과 별개입니다.)

REST

반환되는 검색 결과와 반환 방식과 관련된 다양한 옵션을 설정하려면 다음 단계를 따르세요.

  1. 다음 curl 명령어를 실행합니다.

    curl -X POST -H "Authorization: Bearer $(gcloud auth print-access-token)" \
      -H "Content-Type: application/json" \
      "https://discoveryengine.googleapis.com/v1/projects/PROJECT_ID/locations/global/collections/default_collection/engines/APP_ID/servingConfigs/default_search:answer" \
      -d '{
            "query": { "text": "QUERY"},
              "searchSpec": {
              "searchParams": {
                "maxReturnResults": MAX_RETURN_RESULTS,
                "filter": "FILTER",
                "boostSpec": BOOST_SPEC,
                "orderBy": "ORDER_BY",
                "searchResultMode": SEARCH_RESULT_MODE
               }
             }
          }'
    

    다음을 바꿉니다.

    • PROJECT_ID: 프로젝트의 ID입니다.
    • APP_ID: 질문할 앱의 ID입니다.
    • QUERY: 질문 또는 검색어를 포함하는 자유 텍스트 문자열입니다. 예: 'BigQuery와 Spanner 데이터베이스를 비교해 주세요.'
    • MAX_RETURN_RESULTS: 반환할 검색 결과 수입니다. 기본값은 10입니다.
    • FILTER: 필터는 쿼리되는 문서를 지정합니다. 문서의 메타데이터가 필터 사양을 충족하면 문서가 쿼리됩니다. 필터 구문 등에 대한 자세한 내용은 정형 데이터 또는 비정형 데이터의 맞춤 검색 필터링을 참고하세요.
    • BOOST_SPEC: 부스트 사양을 사용하면 검색 결과에서 특정 문서를 부스팅할 수 있으며, 이는 대답에 영향을 줄 수 있습니다. 부스트 사양 구문 등에 대한 자세한 내용은 검색 결과 부스트를 참조하세요.
    • ORDER_BY: 문서가 반환되는 순서입니다. 문서는 문서 객체의 필드별로 정렬할 수 있습니다. orderBy 표현식은 대소문자를 구분합니다. 이 필드를 인식할 수 없으면 INVALID_ARGUMENT가 반환됩니다.
    • SEARCH_RESULT_MODE: 검색 결과 모드를 지정합니다(DOCUMENTS 또는 CHUNKS). 자세한 내용은 문서 파싱 및 청크 처리ContentSearchSpec을 참조하세요. 이 필드는 API의 v1alpha 버전에서만 사용할 수 있습니다.

Python

이 샘플을 사용해 보기 전에 Gemini Enterprise 빠른 시작: 클라이언트 라이브러리 사용Python 설정 안내를 따르세요. 자세한 내용은 Gemini Enterprise Python API 참고 문서를 참고하세요.

Gemini Enterprise에 인증하려면 애플리케이션 기본 사용자 인증 정보를 설정합니다. 자세한 내용은 로컬 개발 환경의 인증 설정을 참조하세요.

from google.api_core.client_options import ClientOptions
from google.cloud import discoveryengine_v1 as discoveryengine

# TODO(developer): Uncomment these variables before running the sample.
# project_id = "YOUR_PROJECT_ID"
# location = "YOUR_LOCATION"                    # Values: "global", "us", "eu"
# engine_id = "YOUR_APP_ID"


def answer_query_sample(
    project_id: str,
    location: str,
    engine_id: str,
) -> discoveryengine.AnswerQueryResponse:
    #  For more information, refer to:
    # https://cloud.google.com/generative-ai-app-builder/docs/locations#specify_a_multi-region_for_your_data_store
    client_options = (
        ClientOptions(api_endpoint=f"{location}-discoveryengine.googleapis.com")
        if location != "global"
        else None
    )

    # Create a client
    client = discoveryengine.ConversationalSearchServiceClient(
        client_options=client_options
    )

    # The full resource name of the Search serving config
    serving_config = f"projects/{project_id}/locations/{location}/collections/default_collection/engines/{engine_id}/servingConfigs/default_serving_config"

    # Optional: Options for query phase
    # The `query_understanding_spec` below includes all available query phase options.
    # For more details, refer to https://cloud.google.com/generative-ai-app-builder/docs/reference/rest/v1/QueryUnderstandingSpec
    query_understanding_spec = discoveryengine.AnswerQueryRequest.QueryUnderstandingSpec(
        query_rephraser_spec=discoveryengine.AnswerQueryRequest.QueryUnderstandingSpec.QueryRephraserSpec(
            disable=False,  # Optional: Disable query rephraser
            max_rephrase_steps=1,  # Optional: Number of rephrase steps
        ),
        # Optional: Classify query types
        query_classification_spec=discoveryengine.AnswerQueryRequest.QueryUnderstandingSpec.QueryClassificationSpec(
            types=[
                discoveryengine.AnswerQueryRequest.QueryUnderstandingSpec.QueryClassificationSpec.Type.ADVERSARIAL_QUERY,
                discoveryengine.AnswerQueryRequest.QueryUnderstandingSpec.QueryClassificationSpec.Type.NON_ANSWER_SEEKING_QUERY,
            ]  # Options: ADVERSARIAL_QUERY, NON_ANSWER_SEEKING_QUERY or both
        ),
    )

    # Optional: Options for answer phase
    # The `answer_generation_spec` below includes all available query phase options.
    # For more details, refer to https://cloud.google.com/generative-ai-app-builder/docs/reference/rest/v1/AnswerGenerationSpec
    answer_generation_spec = discoveryengine.AnswerQueryRequest.AnswerGenerationSpec(
        ignore_adversarial_query=False,  # Optional: Ignore adversarial query
        ignore_non_answer_seeking_query=False,  # Optional: Ignore non-answer seeking query
        ignore_low_relevant_content=False,  # Optional: Return fallback answer when content is not relevant
        model_spec=discoveryengine.AnswerQueryRequest.AnswerGenerationSpec.ModelSpec(
        # Use the 2026 stable production model for answer generation
        model_version="gemini-2.5-flash/answer_gen/stable",
        ),
        prompt_spec=discoveryengine.AnswerQueryRequest.AnswerGenerationSpec.PromptSpec(
            preamble="Give a detailed answer.",  # Optional: Natural language instructions for customizing the answer.
        ),
        include_citations=True,  # Optional: Include citations in the response
        answer_language_code="en",  # Optional: Language code of the answer
    )

    # Initialize request argument(s)
    request = discoveryengine.AnswerQueryRequest(
        serving_config=serving_config,
        query=discoveryengine.Query(text="What is Vertex AI Search?"),
        session=None,  # Optional: include previous session ID to continue a conversation
        query_understanding_spec=query_understanding_spec,
        answer_generation_spec=answer_generation_spec,
        user_pseudo_id="user-pseudo-id",  # Optional: Add user pseudo-identifier for queries.
    )

    # Make the request
    response = client.answer_query(request)

    # Handle the response
    print(response)

    return response

답변 단계 명령어

이 섹션에서는 answer 메서드 호출을 맞춤설정하는 방법을 보여줍니다. 필요에 따라 다음 옵션을 결합할 수 있습니다.

적대적인 쿼리와 답변을 구하지 않는 쿼리 무시

다음 명령어는 답변 메서드를 호출할 때 적대적인 쿼리 및 답변을 구하지 않는 쿼리에 답변하지 않는 방법을 보여줍니다.

REST

적대적이거나 답변을 구하지 않는 쿼리에 대한 답변을 건너뛰려면 다음 단계를 따르세요.

  1. 다음 curl 명령어를 실행합니다.

    curl -X POST -H "Authorization: Bearer $(gcloud auth print-access-token)" \
      -H "Content-Type: application/json" \
      "https://discoveryengine.googleapis.com/v1/projects/PROJECT_ID/locations/global/collections/default_collection/engines/APP_ID/servingConfigs/default_search:answer" \
      -d '{
            "query": { "text": "QUERY"},
            "answerGenerationSpec": {
               "ignoreAdversarialQuery": true,
               "ignoreNonAnswerSeekingQuery": true
            }
          }'
    

    다음을 바꿉니다.

    • PROJECT_ID: 프로젝트의 ID입니다.
    • APP_ID: 질문할 앱의 ID입니다.
    • QUERY: 질문 또는 검색어를 포함하는 자유 텍스트 문자열입니다.

Python

이 샘플을 사용해 보기 전에 Gemini Enterprise 빠른 시작: 클라이언트 라이브러리 사용Python 설정 안내를 따르세요. 자세한 내용은 Gemini Enterprise Python API 참고 문서를 참고하세요.

Gemini Enterprise에 인증하려면 애플리케이션 기본 사용자 인증 정보를 설정합니다. 자세한 내용은 로컬 개발 환경의 인증 설정을 참조하세요.

from google.api_core.client_options import ClientOptions
from google.cloud import discoveryengine_v1 as discoveryengine

# TODO(developer): Uncomment these variables before running the sample.
# project_id = "YOUR_PROJECT_ID"
# location = "YOUR_LOCATION"                    # Values: "global", "us", "eu"
# engine_id = "YOUR_APP_ID"


def answer_query_sample(
    project_id: str,
    location: str,
    engine_id: str,
) -> discoveryengine.AnswerQueryResponse:
    #  For more information, refer to:
    # https://cloud.google.com/generative-ai-app-builder/docs/locations#specify_a_multi-region_for_your_data_store
    client_options = (
        ClientOptions(api_endpoint=f"{location}-discoveryengine.googleapis.com")
        if location != "global"
        else None
    )

    # Create a client
    client = discoveryengine.ConversationalSearchServiceClient(
        client_options=client_options
    )

    # The full resource name of the Search serving config
    serving_config = f"projects/{project_id}/locations/{location}/collections/default_collection/engines/{engine_id}/servingConfigs/default_serving_config"

    # Optional: Options for query phase
    # The `query_understanding_spec` below includes all available query phase options.
    # For more details, refer to https://cloud.google.com/generative-ai-app-builder/docs/reference/rest/v1/QueryUnderstandingSpec
    query_understanding_spec = discoveryengine.AnswerQueryRequest.QueryUnderstandingSpec(
        query_rephraser_spec=discoveryengine.AnswerQueryRequest.QueryUnderstandingSpec.QueryRephraserSpec(
            disable=False,  # Optional: Disable query rephraser
            max_rephrase_steps=1,  # Optional: Number of rephrase steps
        ),
        # Optional: Classify query types
        query_classification_spec=discoveryengine.AnswerQueryRequest.QueryUnderstandingSpec.QueryClassificationSpec(
            types=[
                discoveryengine.AnswerQueryRequest.QueryUnderstandingSpec.QueryClassificationSpec.Type.ADVERSARIAL_QUERY,
                discoveryengine.AnswerQueryRequest.QueryUnderstandingSpec.QueryClassificationSpec.Type.NON_ANSWER_SEEKING_QUERY,
            ]  # Options: ADVERSARIAL_QUERY, NON_ANSWER_SEEKING_QUERY or both
        ),
    )

    # Optional: Options for answer phase
    # The `answer_generation_spec` below includes all available query phase options.
    # For more details, refer to https://cloud.google.com/generative-ai-app-builder/docs/reference/rest/v1/AnswerGenerationSpec
    answer_generation_spec = discoveryengine.AnswerQueryRequest.AnswerGenerationSpec(
        ignore_adversarial_query=False,  # Optional: Ignore adversarial query
        ignore_non_answer_seeking_query=False,  # Optional: Ignore non-answer seeking query
        ignore_low_relevant_content=False,  # Optional: Return fallback answer when content is not relevant
        model_spec=discoveryengine.AnswerQueryRequest.AnswerGenerationSpec.ModelSpec(
        # Use the 2026 stable production model for answer generation
        model_version="gemini-2.5-flash/answer_gen/stable",
        ),
        prompt_spec=discoveryengine.AnswerQueryRequest.AnswerGenerationSpec.PromptSpec(
            preamble="Give a detailed answer.",  # Optional: Natural language instructions for customizing the answer.
        ),
        include_citations=True,  # Optional: Include citations in the response
        answer_language_code="en",  # Optional: Language code of the answer
    )

    # Initialize request argument(s)
    request = discoveryengine.AnswerQueryRequest(
        serving_config=serving_config,
        query=discoveryengine.Query(text="What is Vertex AI Search?"),
        session=None,  # Optional: include previous session ID to continue a conversation
        query_understanding_spec=query_understanding_spec,
        answer_generation_spec=answer_generation_spec,
        user_pseudo_id="user-pseudo-id",  # Optional: Add user pseudo-identifier for queries.
    )

    # Make the request
    response = client.answer_query(request)

    # Handle the response
    print(response)

    return response

관련 답변만 표시

Gemini Enterprise는 결과가 질문과 얼마나 관련이 있는지 평가할 수 있습니다. 충분히 관련성이 있다고 판단되는 결과가 없으면 관련성이 없거나 최소한의 관련성만 있는 결과에서 답변을 생성하는 대신 대체 답변인 'We do not have a summary for your query.'를 반환하도록 선택할 수 있습니다.

다음 명령어는 답변 메서드를 호출할 때 관련 없는 결과가 나올 경우 대체 답변을 반환하는 방법을 보여줍니다.

REST

관련성 있는 결과가 없을 때 대체 답변을 반환하려면 다음 단계를 따르세요.

  1. 다음 curl 명령어를 실행합니다.

    curl -X POST -H "Authorization: Bearer $(gcloud auth print-access-token)" \
      -H "Content-Type: application/json" \
      "https://discoveryengine.googleapis.com/v1/projects/PROJECT_ID/locations/global/collections/default_collection/engines/APP_ID/servingConfigs/default_search:answer" \
      -d '{
            "query": { "text": "QUERY"},
            "answerGenerationSpec": {
               "ignoreLowRelevantContent": true
            }
          }'
    

    다음을 바꿉니다.

    • PROJECT_ID: 프로젝트의 ID입니다.
    • APP_ID: 질문할 앱의 ID입니다.
    • QUERY: 질문 또는 검색어를 포함하는 자유 텍스트 문자열입니다.

Python

이 샘플을 사용해 보기 전에 Gemini Enterprise 빠른 시작: 클라이언트 라이브러리 사용Python 설정 안내를 따르세요. 자세한 내용은 Gemini Enterprise Python API 참고 문서를 참고하세요.

Gemini Enterprise에 인증하려면 애플리케이션 기본 사용자 인증 정보를 설정합니다. 자세한 내용은 로컬 개발 환경의 인증 설정을 참조하세요.

from google.api_core.client_options import ClientOptions
from google.cloud import discoveryengine_v1 as discoveryengine

# TODO(developer): Uncomment these variables before running the sample.
# project_id = "YOUR_PROJECT_ID"
# location = "YOUR_LOCATION"                    # Values: "global", "us", "eu"
# engine_id = "YOUR_APP_ID"


def answer_query_sample(
    project_id: str,
    location: str,
    engine_id: str,
) -> discoveryengine.AnswerQueryResponse:
    #  For more information, refer to:
    # https://cloud.google.com/generative-ai-app-builder/docs/locations#specify_a_multi-region_for_your_data_store
    client_options = (
        ClientOptions(api_endpoint=f"{location}-discoveryengine.googleapis.com")
        if location != "global"
        else None
    )

    # Create a client
    client = discoveryengine.ConversationalSearchServiceClient(
        client_options=client_options
    )

    # The full resource name of the Search serving config
    serving_config = f"projects/{project_id}/locations/{location}/collections/default_collection/engines/{engine_id}/servingConfigs/default_serving_config"

    # Optional: Options for query phase
    # The `query_understanding_spec` below includes all available query phase options.
    # For more details, refer to https://cloud.google.com/generative-ai-app-builder/docs/reference/rest/v1/QueryUnderstandingSpec
    query_understanding_spec = discoveryengine.AnswerQueryRequest.QueryUnderstandingSpec(
        query_rephraser_spec=discoveryengine.AnswerQueryRequest.QueryUnderstandingSpec.QueryRephraserSpec(
            disable=False,  # Optional: Disable query rephraser
            max_rephrase_steps=1,  # Optional: Number of rephrase steps
        ),
        # Optional: Classify query types
        query_classification_spec=discoveryengine.AnswerQueryRequest.QueryUnderstandingSpec.QueryClassificationSpec(
            types=[
                discoveryengine.AnswerQueryRequest.QueryUnderstandingSpec.QueryClassificationSpec.Type.ADVERSARIAL_QUERY,
                discoveryengine.AnswerQueryRequest.QueryUnderstandingSpec.QueryClassificationSpec.Type.NON_ANSWER_SEEKING_QUERY,
            ]  # Options: ADVERSARIAL_QUERY, NON_ANSWER_SEEKING_QUERY or both
        ),
    )

    # Optional: Options for answer phase
    # The `answer_generation_spec` below includes all available query phase options.
    # For more details, refer to https://cloud.google.com/generative-ai-app-builder/docs/reference/rest/v1/AnswerGenerationSpec
    answer_generation_spec = discoveryengine.AnswerQueryRequest.AnswerGenerationSpec(
        ignore_adversarial_query=False,  # Optional: Ignore adversarial query
        ignore_non_answer_seeking_query=False,  # Optional: Ignore non-answer seeking query
        ignore_low_relevant_content=False,  # Optional: Return fallback answer when content is not relevant
        model_spec=discoveryengine.AnswerQueryRequest.AnswerGenerationSpec.ModelSpec(
        # Use the 2026 stable production model for answer generation
        model_version="gemini-2.5-flash/answer_gen/stable",
        ),
        prompt_spec=discoveryengine.AnswerQueryRequest.AnswerGenerationSpec.PromptSpec(
            preamble="Give a detailed answer.",  # Optional: Natural language instructions for customizing the answer.
        ),
        include_citations=True,  # Optional: Include citations in the response
        answer_language_code="en",  # Optional: Language code of the answer
    )

    # Initialize request argument(s)
    request = discoveryengine.AnswerQueryRequest(
        serving_config=serving_config,
        query=discoveryengine.Query(text="What is Vertex AI Search?"),
        session=None,  # Optional: include previous session ID to continue a conversation
        query_understanding_spec=query_understanding_spec,
        answer_generation_spec=answer_generation_spec,
        user_pseudo_id="user-pseudo-id",  # Optional: Add user pseudo-identifier for queries.
    )

    # Make the request
    response = client.answer_query(request)

    # Handle the response
    print(response)

    return response

그라운딩 지원 점수 반환

다음 명령어는 답변 및 클레임의 그라운딩 지원 점수를 반환하는 방법을 보여줍니다.

REST

각 클레임의 지원 점수(답변의 문장) 및 답변의 집계된 지원 점수를 반환하려면 다음을 수행합니다.

  1. 다음 curl 명령어를 실행합니다.

    curl -X POST -H "Authorization: Bearer $(gcloud auth print-access-token)" \
      -H "Content-Type: application/json" \
      "https://discoveryengine.googleapis.com/v1/projects/PROJECT_ID/locations/global/collections/default_collection/engines/APP_ID/servingConfigs/default_search:answer" \
      -d '{
            "query": { "text": "QUERY"},
            "groundingSpec": {
               "includeGroundingSupports": true,
            }
          }'
    

    다음을 바꿉니다.

    • PROJECT_ID: 프로젝트의 ID입니다.
    • APP_ID: 질문할 앱의 ID입니다.
    • QUERY: 질문 또는 검색어를 포함하는 자유 텍스트 문자열입니다.

올바르게 그라운딩된 답변만 표시

다음 명령어는 데이터 스토어의 정보인 코퍼스에서 올바르게 그라운딩된 것으로 간주되는 답변만 반환하는 방법을 보여줍니다. 올바르게 그라운딩되지 않은 답변은 필터링됩니다.

그라운딩 지원 점수에 대해 낮거나 높은 수준의 기준점을 선택할 수 있습니다. 그러면 해당 수준을 충족하거나 초과하는 경우에만 답변이 반환됩니다. 2개의 필터 기준점을 사용하고 기준점을 사용하지 않는 경우를 실험하여 사용자에게 최선의 결과를 제공하는 필터 수준을 확인할 수 있습니다.

REST

지원 점수 기준점을 충족하는 경우에만 답변을 반환하려면 다음을 수행합니다.

  1. 다음 curl 명령어를 실행합니다.

    curl -X POST -H "Authorization: Bearer $(gcloud auth print-access-token)" \
      -H "Content-Type: application/json" \
      "https://discoveryengine.googleapis.com/v1/projects/PROJECT_ID/locations/global/collections/default_collection/engines/APP_ID/servingConfigs/default_search:answer" \
      -d '{
            "query": { "text": "QUERY"},
            "groundingSpec": {
               "filteringLevel": "FILTER_LEVEL"
            }
          }'
    

    다음을 바꿉니다.

    • PROJECT_ID: 프로젝트의 ID입니다.
    • APP_ID: 질문할 앱의 ID입니다.
    • QUERY: 질문 또는 검색어를 포함하는 자유 텍스트 문자열입니다.
    • FILTER_LEVEL: 그라운딩 지원 점수를 기준으로 답변을 필터링하는 열거형입니다. 옵션은 FILTERING_LEVEL_LOW, FILTERING_LEVEL_HIGH입니다. filteringLevel가 포함되지 않은 경우 답변에 지원 점수 필터가 적용되지 않습니다.

답변 모델 지정

다음 명령어는 답변을 생성하는 데 사용되는 모델 버전을 변경하는 방법을 보여줍니다.

지원되는 모델에 대한 자세한 내용은 답변 생성 모델 버전 및 수명 주기를 참조하세요.

REST

기본 모델과 다른 모델을 사용하여 답변을 생성하려면 다음 단계를 따르세요.

  1. 다음 curl 명령어를 실행합니다.

    curl -X POST -H "Authorization: Bearer $(gcloud auth print-access-token)" \
      -H "Content-Type: application/json" \
      "https://discoveryengine.googleapis.com/v1/projects/PROJECT_ID/locations/global/collections/default_collection/engines/APP_ID/servingConfigs/default_search:answer" \
      -d '{
            "query": { "text": "QUERY"},
            "answerGenerationSpec": {
               "modelSpec": {
                  "modelVersion": "MODEL_VERSION",
               }
             }
          }'
    

    다음을 바꿉니다.

    • PROJECT_ID: 프로젝트의 ID입니다.
    • APP_ID: 질문할 앱의 ID입니다.
    • QUERY: 질문 또는 검색어를 포함하는 자유 텍스트 문자열입니다.
    • MODEL_VERSION: 답변을 생성하는 데 사용할 모델 버전입니다. 자세한 내용은 답변 생성 모델 버전 및 수명 주기를 참조하세요.

Python

이 샘플을 사용해 보기 전에 Gemini Enterprise 빠른 시작: 클라이언트 라이브러리 사용Python 설정 안내를 따르세요. 자세한 내용은 Gemini Enterprise Python API 참고 문서를 참고하세요.

Gemini Enterprise에 인증하려면 애플리케이션 기본 사용자 인증 정보를 설정합니다. 자세한 내용은 로컬 개발 환경의 인증 설정을 참조하세요.

from google.api_core.client_options import ClientOptions
from google.cloud import discoveryengine_v1 as discoveryengine

# TODO(developer): Uncomment these variables before running the sample.
# project_id = "YOUR_PROJECT_ID"
# location = "YOUR_LOCATION"                    # Values: "global", "us", "eu"
# engine_id = "YOUR_APP_ID"


def answer_query_sample(
    project_id: str,
    location: str,
    engine_id: str,
) -> discoveryengine.AnswerQueryResponse:
    #  For more information, refer to:
    # https://cloud.google.com/generative-ai-app-builder/docs/locations#specify_a_multi-region_for_your_data_store
    client_options = (
        ClientOptions(api_endpoint=f"{location}-discoveryengine.googleapis.com")
        if location != "global"
        else None
    )

    # Create a client
    client = discoveryengine.ConversationalSearchServiceClient(
        client_options=client_options
    )

    # The full resource name of the Search serving config
    serving_config = f"projects/{project_id}/locations/{location}/collections/default_collection/engines/{engine_id}/servingConfigs/default_serving_config"

    # Optional: Options for query phase
    # The `query_understanding_spec` below includes all available query phase options.
    # For more details, refer to https://cloud.google.com/generative-ai-app-builder/docs/reference/rest/v1/QueryUnderstandingSpec
    query_understanding_spec = discoveryengine.AnswerQueryRequest.QueryUnderstandingSpec(
        query_rephraser_spec=discoveryengine.AnswerQueryRequest.QueryUnderstandingSpec.QueryRephraserSpec(
            disable=False,  # Optional: Disable query rephraser
            max_rephrase_steps=1,  # Optional: Number of rephrase steps
        ),
        # Optional: Classify query types
        query_classification_spec=discoveryengine.AnswerQueryRequest.QueryUnderstandingSpec.QueryClassificationSpec(
            types=[
                discoveryengine.AnswerQueryRequest.QueryUnderstandingSpec.QueryClassificationSpec.Type.ADVERSARIAL_QUERY,
                discoveryengine.AnswerQueryRequest.QueryUnderstandingSpec.QueryClassificationSpec.Type.NON_ANSWER_SEEKING_QUERY,
            ]  # Options: ADVERSARIAL_QUERY, NON_ANSWER_SEEKING_QUERY or both
        ),
    )

    # Optional: Options for answer phase
    # The `answer_generation_spec` below includes all available query phase options.
    # For more details, refer to https://cloud.google.com/generative-ai-app-builder/docs/reference/rest/v1/AnswerGenerationSpec
    answer_generation_spec = discoveryengine.AnswerQueryRequest.AnswerGenerationSpec(
        ignore_adversarial_query=False,  # Optional: Ignore adversarial query
        ignore_non_answer_seeking_query=False,  # Optional: Ignore non-answer seeking query
        ignore_low_relevant_content=False,  # Optional: Return fallback answer when content is not relevant
        model_spec=discoveryengine.AnswerQueryRequest.AnswerGenerationSpec.ModelSpec(
        # Use the 2026 stable production model for answer generation
        model_version="gemini-2.5-flash/answer_gen/stable",
        ),
        prompt_spec=discoveryengine.AnswerQueryRequest.AnswerGenerationSpec.PromptSpec(
            preamble="Give a detailed answer.",  # Optional: Natural language instructions for customizing the answer.
        ),
        include_citations=True,  # Optional: Include citations in the response
        answer_language_code="en",  # Optional: Language code of the answer
    )

    # Initialize request argument(s)
    request = discoveryengine.AnswerQueryRequest(
        serving_config=serving_config,
        query=discoveryengine.Query(text="What is Vertex AI Search?"),
        session=None,  # Optional: include previous session ID to continue a conversation
        query_understanding_spec=query_understanding_spec,
        answer_generation_spec=answer_generation_spec,
        user_pseudo_id="user-pseudo-id",  # Optional: Add user pseudo-identifier for queries.
    )

    # Make the request
    response = client.answer_query(request)

    # Handle the response
    print(response)

    return response

커스텀 프리앰블 지정

다음 명령어는 생성된 답변의 프리앰블을 설정하는 방법을 보여줍니다. 프리앰블에는 답변을 맞춤설정하기 위한 자연어 안내가 포함되어 있습니다. 길이, 세부정보 수준, 출력 스타일(예: '간단'), 출력 언어, 답변의 포커스, 형식(예: 테이블, 글머리기호, XML)과 같은 맞춤설정을 요청할 수 있습니다. 예를 들어 프리앰블은 '열 살짜리 아이처럼 설명해 주세요.'와 같이 작성할 수 있습니다.

프리앰블은 생성된 답변의 품질에 중대한 영향을 줄 수 있습니다. 프리앰블에 기록할 내용과 올바른 프리앰블에 대한 예시는 커스텀 프리앰블 정보를 참조하세요.

REST

기본 모델과 다른 모델을 사용하여 답변을 생성하려면 다음 단계를 따르세요.

  1. 다음 curl 명령어를 실행합니다.

    curl -X POST -H "Authorization: Bearer $(gcloud auth print-access-token)" \
      -H "Content-Type: application/json" \
      "https://discoveryengine.googleapis.com/v1/projects/PROJECT_ID/locations/global/collections/default_collection/engines/APP_ID/servingConfigs/default_search:answer" \
      -d '{
            "query": { "text": "QUERY"},
            "answerGenerationSpec": {
               "promptSpec": {
                   "preamble": "PREAMBLE",
               }
            }
          }'
    

    다음을 바꿉니다.

    • PROJECT_ID: 프로젝트의 ID입니다.
    • APP_ID: 질문할 앱의 ID입니다.
    • QUERY: 질문 또는 검색어를 포함하는 자유 텍스트 문자열입니다.
    • PREAMBLE: 답변을 맞춤설정하기 위한 자연어 안내입니다. 예를 들어 show the answer format in an ordered list 또는 give a very detailed answer를 사용해 보세요.

Python

이 샘플을 사용해 보기 전에 Gemini Enterprise 빠른 시작: 클라이언트 라이브러리 사용Python 설정 안내를 따르세요. 자세한 내용은 Gemini Enterprise Python API 참고 문서를 참고하세요.

Gemini Enterprise에 인증하려면 애플리케이션 기본 사용자 인증 정보를 설정합니다. 자세한 내용은 로컬 개발 환경의 인증 설정을 참조하세요.

from google.api_core.client_options import ClientOptions
from google.cloud import discoveryengine_v1 as discoveryengine

# TODO(developer): Uncomment these variables before running the sample.
# project_id = "YOUR_PROJECT_ID"
# location = "YOUR_LOCATION"                    # Values: "global", "us", "eu"
# engine_id = "YOUR_APP_ID"


def answer_query_sample(
    project_id: str,
    location: str,
    engine_id: str,
) -> discoveryengine.AnswerQueryResponse:
    #  For more information, refer to:
    # https://cloud.google.com/generative-ai-app-builder/docs/locations#specify_a_multi-region_for_your_data_store
    client_options = (
        ClientOptions(api_endpoint=f"{location}-discoveryengine.googleapis.com")
        if location != "global"
        else None
    )

    # Create a client
    client = discoveryengine.ConversationalSearchServiceClient(
        client_options=client_options
    )

    # The full resource name of the Search serving config
    serving_config = f"projects/{project_id}/locations/{location}/collections/default_collection/engines/{engine_id}/servingConfigs/default_serving_config"

    # Optional: Options for query phase
    # The `query_understanding_spec` below includes all available query phase options.
    # For more details, refer to https://cloud.google.com/generative-ai-app-builder/docs/reference/rest/v1/QueryUnderstandingSpec
    query_understanding_spec = discoveryengine.AnswerQueryRequest.QueryUnderstandingSpec(
        query_rephraser_spec=discoveryengine.AnswerQueryRequest.QueryUnderstandingSpec.QueryRephraserSpec(
            disable=False,  # Optional: Disable query rephraser
            max_rephrase_steps=1,  # Optional: Number of rephrase steps
        ),
        # Optional: Classify query types
        query_classification_spec=discoveryengine.AnswerQueryRequest.QueryUnderstandingSpec.QueryClassificationSpec(
            types=[
                discoveryengine.AnswerQueryRequest.QueryUnderstandingSpec.QueryClassificationSpec.Type.ADVERSARIAL_QUERY,
                discoveryengine.AnswerQueryRequest.QueryUnderstandingSpec.QueryClassificationSpec.Type.NON_ANSWER_SEEKING_QUERY,
            ]  # Options: ADVERSARIAL_QUERY, NON_ANSWER_SEEKING_QUERY or both
        ),
    )

    # Optional: Options for answer phase
    # The `answer_generation_spec` below includes all available query phase options.
    # For more details, refer to https://cloud.google.com/generative-ai-app-builder/docs/reference/rest/v1/AnswerGenerationSpec
    answer_generation_spec = discoveryengine.AnswerQueryRequest.AnswerGenerationSpec(
        ignore_adversarial_query=False,  # Optional: Ignore adversarial query
        ignore_non_answer_seeking_query=False,  # Optional: Ignore non-answer seeking query
        ignore_low_relevant_content=False,  # Optional: Return fallback answer when content is not relevant
        model_spec=discoveryengine.AnswerQueryRequest.AnswerGenerationSpec.ModelSpec(
        # Use the 2026 stable production model for answer generation
        model_version="gemini-2.5-flash/answer_gen/stable",
        ),
        prompt_spec=discoveryengine.AnswerQueryRequest.AnswerGenerationSpec.PromptSpec(
            preamble="Give a detailed answer.",  # Optional: Natural language instructions for customizing the answer.
        ),
        include_citations=True,  # Optional: Include citations in the response
        answer_language_code="en",  # Optional: Language code of the answer
    )

    # Initialize request argument(s)
    request = discoveryengine.AnswerQueryRequest(
        serving_config=serving_config,
        query=discoveryengine.Query(text="What is Vertex AI Search?"),
        session=None,  # Optional: include previous session ID to continue a conversation
        query_understanding_spec=query_understanding_spec,
        answer_generation_spec=answer_generation_spec,
        user_pseudo_id="user-pseudo-id",  # Optional: Add user pseudo-identifier for queries.
    )

    # Make the request
    response = client.answer_query(request)

    # Handle the response
    print(response)

    return response

인용 포함

다음 명령어는 답변에 인용을 포함하도록 요청하는 방법을 보여줍니다.

REST

기본 모델과 다른 모델을 사용하여 답변을 생성하려면 다음 단계를 따르세요.

  1. 다음 curl 명령어를 실행합니다.

    curl -X POST -H "Authorization: Bearer $(gcloud auth print-access-token)" \
      -H "Content-Type: application/json" \
      "https://discoveryengine.googleapis.com/v1/projects/PROJECT_ID/locations/global/collections/default_collection/engines/APP_ID/servingConfigs/default_search:answer" \
      -d '{
            "query": { "text": "QUERY"},
            "answerGenerationSpec": {
               "includeCitations": INCLUDE_CITATIONS
            }
          }'
    

    다음을 바꿉니다.

    • PROJECT_ID: 프로젝트의 ID입니다.
    • APP_ID: 질문할 앱의 ID입니다.
    • QUERY: 질문 또는 검색어를 포함하는 자유 텍스트 문자열입니다.
    • INCLUDE_CITATIONS: 답변에 인용 메타데이터를 포함할지 여부를 지정합니다. 기본값은 false입니다.

Python

이 샘플을 사용해 보기 전에 Gemini Enterprise 빠른 시작: 클라이언트 라이브러리 사용Python 설정 안내를 따르세요. 자세한 내용은 Gemini Enterprise Python API 참고 문서를 참고하세요.

Gemini Enterprise에 인증하려면 애플리케이션 기본 사용자 인증 정보를 설정합니다. 자세한 내용은 로컬 개발 환경의 인증 설정을 참조하세요.

from google.api_core.client_options import ClientOptions
from google.cloud import discoveryengine_v1 as discoveryengine

# TODO(developer): Uncomment these variables before running the sample.
# project_id = "YOUR_PROJECT_ID"
# location = "YOUR_LOCATION"                    # Values: "global", "us", "eu"
# engine_id = "YOUR_APP_ID"


def answer_query_sample(
    project_id: str,
    location: str,
    engine_id: str,
) -> discoveryengine.AnswerQueryResponse:
    #  For more information, refer to:
    # https://cloud.google.com/generative-ai-app-builder/docs/locations#specify_a_multi-region_for_your_data_store
    client_options = (
        ClientOptions(api_endpoint=f"{location}-discoveryengine.googleapis.com")
        if location != "global"
        else None
    )

    # Create a client
    client = discoveryengine.ConversationalSearchServiceClient(
        client_options=client_options
    )

    # The full resource name of the Search serving config
    serving_config = f"projects/{project_id}/locations/{location}/collections/default_collection/engines/{engine_id}/servingConfigs/default_serving_config"

    # Optional: Options for query phase
    # The `query_understanding_spec` below includes all available query phase options.
    # For more details, refer to https://cloud.google.com/generative-ai-app-builder/docs/reference/rest/v1/QueryUnderstandingSpec
    query_understanding_spec = discoveryengine.AnswerQueryRequest.QueryUnderstandingSpec(
        query_rephraser_spec=discoveryengine.AnswerQueryRequest.QueryUnderstandingSpec.QueryRephraserSpec(
            disable=False,  # Optional: Disable query rephraser
            max_rephrase_steps=1,  # Optional: Number of rephrase steps
        ),
        # Optional: Classify query types
        query_classification_spec=discoveryengine.AnswerQueryRequest.QueryUnderstandingSpec.QueryClassificationSpec(
            types=[
                discoveryengine.AnswerQueryRequest.QueryUnderstandingSpec.QueryClassificationSpec.Type.ADVERSARIAL_QUERY,
                discoveryengine.AnswerQueryRequest.QueryUnderstandingSpec.QueryClassificationSpec.Type.NON_ANSWER_SEEKING_QUERY,
            ]  # Options: ADVERSARIAL_QUERY, NON_ANSWER_SEEKING_QUERY or both
        ),
    )

    # Optional: Options for answer phase
    # The `answer_generation_spec` below includes all available query phase options.
    # For more details, refer to https://cloud.google.com/generative-ai-app-builder/docs/reference/rest/v1/AnswerGenerationSpec
    answer_generation_spec = discoveryengine.AnswerQueryRequest.AnswerGenerationSpec(
        ignore_adversarial_query=False,  # Optional: Ignore adversarial query
        ignore_non_answer_seeking_query=False,  # Optional: Ignore non-answer seeking query
        ignore_low_relevant_content=False,  # Optional: Return fallback answer when content is not relevant
        model_spec=discoveryengine.AnswerQueryRequest.AnswerGenerationSpec.ModelSpec(
        # Use the 2026 stable production model for answer generation
        model_version="gemini-2.5-flash/answer_gen/stable",
        ),
        prompt_spec=discoveryengine.AnswerQueryRequest.AnswerGenerationSpec.PromptSpec(
            preamble="Give a detailed answer.",  # Optional: Natural language instructions for customizing the answer.
        ),
        include_citations=True,  # Optional: Include citations in the response
        answer_language_code="en",  # Optional: Language code of the answer
    )

    # Initialize request argument(s)
    request = discoveryengine.AnswerQueryRequest(
        serving_config=serving_config,
        query=discoveryengine.Query(text="What is Vertex AI Search?"),
        session=None,  # Optional: include previous session ID to continue a conversation
        query_understanding_spec=query_understanding_spec,
        answer_generation_spec=answer_generation_spec,
        user_pseudo_id="user-pseudo-id",  # Optional: Add user pseudo-identifier for queries.
    )

    # Make the request
    response = client.answer_query(request)

    # Handle the response
    print(response)

    return response

답변 언어 코드 설정

다음 명령어는 답변의 언어 코드를 설정하는 방법을 보여줍니다.

REST

기본 모델과 다른 모델을 사용하여 답변을 생성하려면 다음 단계를 따르세요.

  1. 다음 curl 명령어를 실행합니다.

    curl -X POST -H "Authorization: Bearer $(gcloud auth print-access-token)" \
      -H "Content-Type: application/json" \
      "https://discoveryengine.googleapis.com/v1/projects/PROJECT_ID/locations/global/collections/default_collection/engines/APP_ID/servingConfigs/default_search:answer" \
      -d '{
            "query": { "text": "QUERY"},
            "answerGenerationSpec": {
               "answerLanguageCode": "ANSWER_LANGUAGE_CODE"
               }
          }'
    

    다음을 바꿉니다.

    • PROJECT_ID: 프로젝트의 ID입니다.
    • APP_ID: 질문할 앱의 ID입니다.
    • QUERY: 질문 또는 검색어를 포함하는 자유 텍스트 문자열입니다.
    • ANSWER_LANGUAGE_CODE: 답변의 언어 코드입니다. BCP47: 언어 식별을 위한 태그에 정의된 언어 태그를 사용합니다.

Python

이 샘플을 사용해 보기 전에 Gemini Enterprise 빠른 시작: 클라이언트 라이브러리 사용Python 설정 안내를 따르세요. 자세한 내용은 Gemini Enterprise Python API 참고 문서를 참고하세요.

Gemini Enterprise에 인증하려면 애플리케이션 기본 사용자 인증 정보를 설정합니다. 자세한 내용은 로컬 개발 환경의 인증 설정을 참조하세요.

from google.api_core.client_options import ClientOptions
from google.cloud import discoveryengine_v1 as discoveryengine

# TODO(developer): Uncomment these variables before running the sample.
# project_id = "YOUR_PROJECT_ID"
# location = "YOUR_LOCATION"                    # Values: "global", "us", "eu"
# engine_id = "YOUR_APP_ID"


def answer_query_sample(
    project_id: str,
    location: str,
    engine_id: str,
) -> discoveryengine.AnswerQueryResponse:
    #  For more information, refer to:
    # https://cloud.google.com/generative-ai-app-builder/docs/locations#specify_a_multi-region_for_your_data_store
    client_options = (
        ClientOptions(api_endpoint=f"{location}-discoveryengine.googleapis.com")
        if location != "global"
        else None
    )

    # Create a client
    client = discoveryengine.ConversationalSearchServiceClient(
        client_options=client_options
    )

    # The full resource name of the Search serving config
    serving_config = f"projects/{project_id}/locations/{location}/collections/default_collection/engines/{engine_id}/servingConfigs/default_serving_config"

    # Optional: Options for query phase
    # The `query_understanding_spec` below includes all available query phase options.
    # For more details, refer to https://cloud.google.com/generative-ai-app-builder/docs/reference/rest/v1/QueryUnderstandingSpec
    query_understanding_spec = discoveryengine.AnswerQueryRequest.QueryUnderstandingSpec(
        query_rephraser_spec=discoveryengine.AnswerQueryRequest.QueryUnderstandingSpec.QueryRephraserSpec(
            disable=False,  # Optional: Disable query rephraser
            max_rephrase_steps=1,  # Optional: Number of rephrase steps
        ),
        # Optional: Classify query types
        query_classification_spec=discoveryengine.AnswerQueryRequest.QueryUnderstandingSpec.QueryClassificationSpec(
            types=[
                discoveryengine.AnswerQueryRequest.QueryUnderstandingSpec.QueryClassificationSpec.Type.ADVERSARIAL_QUERY,
                discoveryengine.AnswerQueryRequest.QueryUnderstandingSpec.QueryClassificationSpec.Type.NON_ANSWER_SEEKING_QUERY,
            ]  # Options: ADVERSARIAL_QUERY, NON_ANSWER_SEEKING_QUERY or both
        ),
    )

    # Optional: Options for answer phase
    # The `answer_generation_spec` below includes all available query phase options.
    # For more details, refer to https://cloud.google.com/generative-ai-app-builder/docs/reference/rest/v1/AnswerGenerationSpec
    answer_generation_spec = discoveryengine.AnswerQueryRequest.AnswerGenerationSpec(
        ignore_adversarial_query=False,  # Optional: Ignore adversarial query
        ignore_non_answer_seeking_query=False,  # Optional: Ignore non-answer seeking query
        ignore_low_relevant_content=False,  # Optional: Return fallback answer when content is not relevant
        model_spec=discoveryengine.AnswerQueryRequest.AnswerGenerationSpec.ModelSpec(
        # Use the 2026 stable production model for answer generation
        model_version="gemini-2.5-flash/answer_gen/stable",
        ),
        prompt_spec=discoveryengine.AnswerQueryRequest.AnswerGenerationSpec.PromptSpec(
            preamble="Give a detailed answer.",  # Optional: Natural language instructions for customizing the answer.
        ),
        include_citations=True,  # Optional: Include citations in the response
        answer_language_code="en",  # Optional: Language code of the answer
    )

    # Initialize request argument(s)
    request = discoveryengine.AnswerQueryRequest(
        serving_config=serving_config,
        query=discoveryengine.Query(text="What is Vertex AI Search?"),
        session=None,  # Optional: include previous session ID to continue a conversation
        query_understanding_spec=query_understanding_spec,
        answer_generation_spec=answer_generation_spec,
        user_pseudo_id="user-pseudo-id",  # Optional: Add user pseudo-identifier for queries.
    )

    # Make the request
    response = client.answer_query(request)

    # Handle the response
    print(response)

    return response

대답 맞춤설정

사용자에 관한 특정 정보(예: 프로필의 데이터)가 있는 경우 endUserMetadata 객체에 해당 정보를 지정하여 사용자에게 맞게 쿼리 결과를 맞춤설정할 수 있습니다.

예를 들어 사용자가 휴대전화 업그레이드에 관한 정보를 검색하는 경우 현재 휴대전화 모델 및 모바일 요금제와 같은 프로필 정보는 생성된 대답을 맞춤설정할 수 있는 정보를 제공합니다.

질문을 하는 사용자에 관한 개인 정보를 추가하고 개인 정보를 고려하는 답변을 생성하려면 다음을 실행하세요.

  1. 다음 curl 명령어를 실행합니다.

    curl -X POST -H "Authorization: Bearer $(gcloud auth print-access-token)" \
      -H "Content-Type: application/json" \
      "https://discoveryengine.googleapis.com/v1/projects/PROJECT_ID/locations/global/collections/default_collection/engines/APP_ID/servingConfigs/default_search:answer" \
    -d '{
        "query": { "text": "QUERY"},
        "endUserSpec": {
           "endUserMetadata": [
             {
               "chunkInfo": {
                  "content": "PERSONALIZED_INFO",
                  "documentMetadata":  { "title": "INFO_DESCRIPTION"}
               }
             }
           ]
        }
      }'
    

    다음을 바꿉니다.

    • PROJECT_ID: 프로젝트의 ID입니다.
    • APP_ID: 질문할 앱의 ID입니다.
    • QUERY: 질문 또는 검색어를 포함하는 자유 텍스트 문자열입니다.
    • PERSONALIZATION_INFO: 쿼리를 실행하는 사용자에 관한 정보를 포함하는 문자열입니다. 예를 들어 This customer has a Pixel 6 Pro purchased over a period of 24-months starting 2023-01-15. This customer is on the Business Plus International plan. No payment is due at this time. 이 문자열의 길이 제한은 8,000자입니다.
    • INFO_DESCRIPTION: 맞춤설정 정보를 간략하게 설명하는 문자열입니다(예: Customer profile data, including model, plan, and billing status.). 모델은 질문에 대한 맞춤 답변을 생성할 때 이 설명과 맞춤설정 정보를 모두 사용합니다.

답변에 대한 차트 생성

answer 메서드는 차트를 생성하고 쿼리에 대한 대답의 일부로 반환할 수 있습니다.

'데이터가 있는 연도의 소규모 비즈니스 결제의 전년 대비 성장률을 표시해 줘'와 같이 답변에 차트를 포함해 달라고 구체적으로 요청할 수 있습니다. 시스템에서 충분한 데이터가 있다고 판단하면 차트가 반환됩니다. 일반적으로 차트와 함께 답변 텍스트가 반환됩니다.

또한 차트를 만들기에 충분한 데이터가 있는 경우 질문에서 명시적으로 차트를 요청하지 않았더라도 답변 메서드가 차트를 반환할 수 있습니다. 예를 들어 '2010년에서 2020년 사이에 깨끗한 식수에 대한 접근성이 향상됨에 따라 HDI 점수가 얼마나 개선되었나요?'와 같은 질문을 할 수 있습니다.

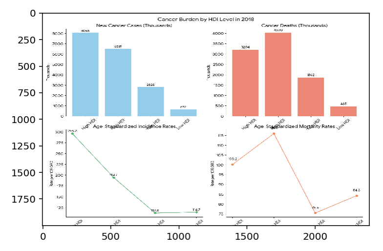
답변당 하나의 차트만 생성됩니다. 하지만 차트가 다른 작은 차트를 포함하는 복합 차트일 수 있습니다. 복합 차트의 예:

복합 차트에는 4개의 작은 차트가 포함되어 있습니다.

제한사항

질문은 영어로 작성해야 합니다.

일반적인 실패 시나리오

대답과 함께 이미지가 항상 반환되는 것은 아닙니다. 데이터가 충분하지 않으면 수치를 생성할 수 없습니다.

기타 실패 시나리오에는 코드 실행 실패 및 시간 제한이 포함됩니다. 이러한 문제가 발생하면 쿼리를 바꿔서 다시 시도해 보세요.

시작하기 전에

생성된 차트를 요청하는 쿼리를 실행하기 전에 다음 단계를 따르세요.

  • Gemini 2.0 이상 모델을 사용하고 있는지 확인합니다. 모델에 대한 자세한 내용은 답변 생성 모델 버전 및 수명 주기를 참고하세요.

  • 표와 이미지가 많은 문서가 포함된 비정형 데이터 스토어가 있는 경우 레이아웃 파서를 사용 설정합니다. 필수는 아니지만 이렇게 하면 더 나은 품질의 결과를 얻을 수 있습니다.

절차

REST

다음과 같이 answer 메서드를 호출하여 데이터 스토어의 데이터에서 생성된 차트를 포함할 수 있는 답변을 반환합니다.

  1. 다음 curl 명령어를 실행합니다.

    curl -X POST -H "Authorization: Bearer $(gcloud auth print-access-token)" \
      -H "Content-Type: application/json" \
      "https://discoveryengine.googleapis.com/v1beta/projects/PROJECT_ID/locations/global/collections/default_collection/engines/APP_ID/servingConfigs/default_search:answer" \
      -d '{
            "query": { "text": "QUERY"},
            "answerGenerationSpec": {
              "model_spec": {
                 "model_version": "MODEL_VERSION"
             },
              "multimodalSpec": {
                 "imageSource": "IMAGE_SOURCE"
                 }
            }
          }'
    

    다음을 바꿉니다.

    • PROJECT_ID: 프로젝트의 ID입니다.
    • APP_ID: 쿼리할 앱의 ID입니다.
    • QUERY: 질문 또는 검색어를 포함하는 영어 자유 텍스트 문자열입니다.
    • MODEL_VERSION: 모델 버전 stable 또는 기타 지원되는 모델(답변 생성 모델 버전 및 수명 주기 참고)
    • IMAGE_SOURCE: 답변에 생성된 차트(FIGURE_GENERATION_ONLY)가 포함되도록 요청하거나 답변에 생성된 차트 또는 데이터 스토어의 기존 이미지(ALL_AVAILABLE_SOURCES)가 포함될 수 있도록 요청하는 열거형입니다.

데이터 스토어에서 기존 이미지 가져오기

데이터 스토어의 이미지가 답변과 인용 참조에 반환되도록 선택할 수 있습니다. 데이터 스토어는 레이아웃 파서가 사용 설정된 비정형 데이터 스토어여야 합니다.

imageSourceCORPUS_IMAGE_ONLY 또는 ALL_AVAILABLE_SOURCES인 경우 answer 메서드는 데이터 스토어에서 적절한 이미지를 가져올 수 있습니다. 하지만 이 기능을 사용 설정한다고 해서 이미지가 항상 반환되는 것은 아닙니다.

답변당 최대 1개의 이미지가 제공됩니다. 인용에는 여러 이미지가 포함될 수 있습니다.

제한사항

  • 사용 중인 앱이 비정형 데이터 스토어에 연결되어 있어야 합니다. 이미지는 웹사이트나 구조화된 데이터 스토어에서 반환할 수 없습니다.

  • 질문은 영어로 작성해야 합니다.

  • 레이아웃 파서를 통한 이미지 주석은 데이터 스토어에 적용해야 합니다. 레이아웃 파서에 대한 자세한 내용은 문서 파싱 및 청크 처리를 참고하세요.

절차

REST

다음과 같이 answer 메서드를 호출하여 답변에 데이터 스토어의 이미지를 포함할 수 있는 답변을 반환합니다.

  1. 다음 curl 명령어를 실행합니다.

    curl -X POST -H "Authorization: Bearer $(gcloud auth print-access-token)" \
      -H "Content-Type: application/json" \
      "https://discoveryengine.googleapis.com/v1beta/projects/PROJECT_ID/locations/global/collections/default_collection/engines/APP_ID/servingConfigs/default_search:answer" \
      -d '{
            "query": { "text": "QUERY"},
            "answerGenerationSpec": {
              "model_spec": {
                 "model_version": "MODEL_VERSION"
              },
              includeCitations: true,
              "multimodalSpec": {
                 "imageSource": "IMAGE_SOURCE"
                 }
            }
          }'
    

    다음을 바꿉니다.

    • PROJECT_ID: 프로젝트의 ID입니다.
    • APP_ID: 쿼리할 앱의 ID입니다.
    • QUERY: 질문 또는 검색어를 포함하는 영어 자유 텍스트 문자열입니다.
    • MODEL_VERSION: 모델 버전 stable 또는 기타 지원되는 모델(답변 생성 모델 버전 및 수명 주기 참고)
    • IMAGE_SOURCE: 답변에 데이터 스토어의 이미지(CORPUS_IMAGE_ONLY)가 포함되도록 요청하거나 답변에 데이터 스토어의 이미지 또는 생성된 차트(ALL_AVAILABLE_SOURCES)가 포함될 수 있도록 요청하는 열거형입니다.

후속 질문을 위한 명령어

후속 질문은 멀티턴 쿼리입니다. 후속 질문 세션의 첫 번째 쿼리 후 후속 '턴'에서는 이전 상호작용이 고려됩니다. 후속 질문에서는 답변 방식에서 사용자가 직접 후속 질문을 입력하는 대신 선택할 수 있는 관련 질문을 제안할 수도 있습니다.

인용, 필터, 세이프서치, 특정 유형의 쿼리 무시, 프리앰블 사용을 통한 답변 맞춤설정 등 이전 섹션에 설명된 모든 답변과 질문 기능은 후속 질문과 함께 적용할 수 있습니다.

후속 질문 세션의 예시

다음은 후속 질문이 있는 세션의 예시입니다. 멕시코에서 휴가를 보내는 방법을 알고 싶다고 가정해 보세요.

  • 턴 1:

    • 나: 멕시코에서 휴가를 즐기기에 가장 좋은 시기는 언제인가요?

    • 후속 질문으로 답변: 멕시코에서 휴가를 즐기기에 가장 좋은 시기는 11월부터 4월까지 이어지는 건기입니다.

  • 턴 2:

    • 나: 환율은 어떻게 되나요?

    • 후속 질문으로 답변: 1달러는 약 17.65멕시코 페소입니다.

  • 턴 3:

    • 나: 12월 평균 기온은 얼마인가요?

    • 후속 질문으로 답변: 평균 기온은 70~78°F입니다. 칸쿤의 평균 기온은 약 77°F입니다.

후속 질문이 없으면 '환율은 어떻게 되나요?'라는 질문에 대한 답을 얻을 수 없습니다. 일반 검색에서는 사용자가 멕시코 환율을 원한다는 사실을 알 수 없기 때문입니다. 마찬가지로 후속 질문이 없으면 멕시코의 기온을 구체적으로 알려주는 데 필요한 컨텍스트가 없습니다.

'멕시코에서 휴가를 즐기기에 가장 좋은 시기는 언제인가요?'라고 질문하면 질문에 답하는 것 외에도 답변과 후속 질문을 통해 '멕시코에서 휴가를 즐기기에 가장 저렴한 달은 언제인가요?', '멕시코의 관광 성수기는 언제인가요?'와 같은 다른 질문을 제안할 수 있습니다.

관련 질문 기능이 사용 설정되면 질문이 대답에 문자열로 반환됩니다.

세션 정보

Gemini Enterprise에서 후속 질문이 작동하는 방식을 이해하려면 세션에 관해 알아야 합니다.

세션은 사용자가 제공한 텍스트 쿼리와 Gemini Enterprise에서 제공한 응답으로 구성됩니다.

이러한 쿼리와 응답 쌍을 이라고도 합니다. 위 예시에서 두 번째 턴은 '환율은 어떻게 되나요?'와 '1달러는 약 17.65멕시코 페소입니다.'로 구성됩니다.

세션은 앱과 함께 저장됩니다. 앱에서 세션은 세션 리소스로 표시됩니다.

쿼리 및 응답 메시지 외에도 세션 리소스에는 다음이 포함됩니다.

  • 고유한 이름 (세션 ID)

  • 상태(진행 중이거나 완료된 상태)

  • 사용자를 추적하는 방문자 ID인 사용자 유사 ID. 프로그래매틱 방식으로 할당할 수 있습니다.

  • 시작 시간 및 종료 시간

  • 질문-답변 쌍인 턴

세션 정보 저장 및 응답 가져오기

명령줄을 사용하여 검색 응답과 답변을 생성하고 이를 각 쿼리와 함께 세션에 저장할 수 있습니다.

REST

명령줄을 사용하여 세션을 만들고 사용자 입력으로부터 응답을 생성하려면 다음 단계를 따르세요.

  1. 세션을 저장할 앱을 지정합니다.

    curl -X POST \
      -H "Authorization: Bearer $(gcloud auth print-access-token)" \
      -H "Content-Type: application/json" \
      "https://discoveryengine.googleapis.com/v1/projects/PROJECT_ID/locations/global/collections/default_collection/engines/APP_ID/sessions" \
      -d '{
            "userPseudoId": "USER_PSEUDO_ID"
          }'
    

    다음을 바꿉니다.

    • PROJECT_ID: 프로젝트의 ID입니다.

    • APP_ID: 앱의 ID입니다.

    • USER_PSEUDO_ID: 검색 방문자를 추적하기 위한 고유 식별자입니다. 예를 들어 단일 기기에서 방문자를 고유하게 식별하는 HTTP 쿠키를 사용해서 이를 구현할 수 있습니다.

    명령어 및 결과 예시

    curl -X POST -H "Authorization: Bearer $(gcloud auth print-access-token)"
    -H "Content-Type: application/json"
    "https://discoveryengine.googleapis.com/v1/projects/my-project-123/locations/global/collections/default_collection/engines/my-app/sessions"
    -d '{
    "userPseudoId": "test_user"
    }'
    
    { "name": "projects/123456/locations/global/collections/default_collection/engines/my-app/sessions/16002628354770206943", "state": "IN_PROGRESS", "userPseudoId": "test_user", "startTime": "2024-09-13T18:47:10.465311Z", "endTime": "2024-09-13T18:47:10.465311Z" }
  2. 세션 ID, 즉 JSON 응답의 name: 필드 끝에 있는 숫자를 기록해 둡니다. 다음 예시에서 ID는 5386462384953257772입니다. 다음 단계에서 이 작업 ID가 필요합니다.

  3. 답변을 생성하고 앱의 세션에 추가합니다.

    curl -X POST \
      -H "Authorization: Bearer $(gcloud auth print-access-token)" \
      -H "Content-Type: application/json" \
      "https://discoveryengine.googleapis.com/v1/projects/PROJECT_ID/locations/global/collections/default_collection/engines/APP_ID/servingConfigs/default_search:answer" \
      -d '{
            "query": { "text": "QUERY"},
            "session": "projects/PROJECT_ID/locations/global/collections/default_collection/engines/APP_ID/sessions/SESSION_ID",
              "searchSpec":{ "searchParams": {"filter": "FILTER"} }
    }'
    

    다음을 바꿉니다.

    • PROJECT_ID: 프로젝트의 ID입니다.
    • APP_ID: 앱의 ID입니다.
    • QUERY: 질문 또는 검색어를 포함하는 자유 텍스트 문자열입니다.
    • SESSION_ID: 1단계에서 만든 세션의 ID입니다. 이는 2단계에서 기록한 name: 필드의 끝에 있는 숫자입니다. 세션의 경우 모든 턴에 동일한 세션 ID를 사용합니다.
    • FILTER: 필터 표현식을 사용하여 검색을 필터링하기 위한 텍스트 필드입니다. 기본값은 빈 문자열입니다. 필터를 구성하는 방법은 메타데이터가 포함된 비정형 데이터인지, 정형 데이터인지, 웹사이트 데이터인지에 따라 다릅니다. 자세한 내용은 정형 데이터 또는 비정형 데이터의 맞춤 검색 필터링을 참고하세요.

    명령어 및 결과 예시

    curl -X POST -H "Authorization: Bearer $(gcloud auth print-access-token)"
    -H "Content-Type: application/json"
    "https://discoveryengine.googleapis.com/v1/projects/my-project-123/locations/global/collections/default_collection/engines/my-app/servingConfigs/default_search:answer"
    -d '{
    "query": { "text": "Compare bigquery with spanner database?"},
    "session":  "projects/123456/locations/global/collections/default_collection/engines/my-app/sessions/16002628354770206943",
    }'
        
    { "answer": { "name": "projects/123456/locations/global/collections/default_collection/engines/my-app/sessions/16002628354770206943/answers/4861507376861383072", "state": "SUCCEEDED", "answerText": "BigQuery and Spanner are both powerful tools that can be used together to handle transactional and analytical workloads. Spanner is a fully managed relational database optimized for transactional workloads, while BigQuery is a serverless data warehouse designed for business agility. Spanner provides seamless replication across regions in Google Cloud and processes over 1 billion requests per second at peak. BigQuery analyzes over 110 terabytes of data per second. Users can leverage federated queries to read data from Spanner and write to a native BigQuery table. \n", "steps": [ { "state": "SUCCEEDED", "description": "Rephrase the query and search.", "actions": [ { "searchAction": { "query": "Compare bigquery with spanner database?" }, "observation": { "searchResults": [ { "document": "projects/123456/locations/global/collections/default_collection/dataStores/my-data-store/branches/0/documents/ecc0e7547253f4ca3ff3328ce89995af", "uri": "https://cloud.google.com/blog/topics/developers-practitioners/how-spanner-and-bigquery-work-together-handle-transactional-and-analytical-workloads", "title": "How Spanner and BigQuery work together to handle transactional and analytical workloads | Google Cloud Blog", "snippetInfo": [ { "snippet": "Using Cloud \u003cb\u003eSpanner\u003c/b\u003e and \u003cb\u003eBigQuery\u003c/b\u003e also allows customers to build their \u003cb\u003edata\u003c/b\u003e clouds using Google Cloud, a unified, open approach to \u003cb\u003edata\u003c/b\u003e-driven transformation ...", "snippetStatus": "SUCCESS" } ] }, { "document": "projects/123456/locations/global/collections/default_collection/dataStores/my-data-store/branches/0/documents/d7e238f73608a860e00b752ef80e2941", "uri": "https://cloud.google.com/blog/products/databases/cloud-spanner-gets-stronger-with-bigquery-federated-queries", "title": "Cloud Spanner gets stronger with BigQuery-federated queries | Google Cloud Blog", "snippetInfo": [ { "snippet": "As enterprises compete for market share, their need for real-time insights has given rise to increased demand for transactional \u003cb\u003edatabases\u003c/b\u003e to support \u003cb\u003edata\u003c/b\u003e ...", "snippetStatus": "SUCCESS" } ] }, { "document": "projects/123456/locations/global/collections/default_collection/dataStores/my-data-store/branches/0/documents/e10a5a3c267dc61579e7c00fefe656eb", "uri": "https://cloud.google.com/blog/topics/developers-practitioners/replicating-cloud-spanner-bigquery-scale", "title": "Replicating from Cloud Spanner to BigQuery at scale | Google Cloud Blog", "snippetInfo": [ { "snippet": "... \u003cb\u003eSpanner data\u003c/b\u003e into \u003cb\u003eBigQuery\u003c/b\u003e for analytics. In this post, you will learn how to efficiently use this feature to replicate large tables with high throughput ...", "snippetStatus": "SUCCESS" } ] }, ... { "document": "projects/123456/locations/global/collections/default_collection/dataStores/my-data-store/branches/0/documents/8100ad36e1cac149eb9fc180a41d8f25", "uri": "https://cloud.google.com/blog/products/gcp/from-nosql-to-new-sql-how-spanner-became-a-global-mission-critical-database", "title": "How Spanner became a global, mission-critical database | Google Cloud Blog", "snippetInfo": [ { "snippet": "... SQL \u003cb\u003evs\u003c/b\u003e. NoSQL dichotomy may no longer be relevant." The \u003cb\u003eSpanner\u003c/b\u003e SQL query processor, while recognizable as a standard implementation, has unique ...", "snippetStatus": "SUCCESS" } ] } ] } } ] } ] }, "session": { "name": "projects/123456/locations/global/collections/default_collection/engines/my-app/sessions/16002628354770206943", "state": "IN_PROGRESS", "userPseudoId": "test_user", "turns": [ { "query": { "queryId": "projects/123456/locations/global/questions/741830", "text": "Compare bigquery with spanner database?" }, "answer": "projects/123456/locations/global/collections/default_collection/engines/my-app/sessions/16002628354770206943/answers/4861507376861383072" } ], "startTime": "2024-09-13T18:47:10.465311Z", "endTime": "2024-09-13T18:47:10.465311Z" }, "answerQueryToken": "NMwKDAjFkpK3BhDU24uZAhIkNjZlNDIyZWYtMDAwMC0yMjVmLWIxMmQtZjQwMzA0M2FkYmNj" }
  4. 세션의 각 새 질문에 대해 3단계를 반복합니다.

Python

이 샘플을 사용해 보기 전에 Gemini Enterprise 빠른 시작: 클라이언트 라이브러리 사용Python 설정 안내를 따르세요. 자세한 내용은 Gemini Enterprise Python API 참고 문서를 참고하세요.

Gemini Enterprise에 인증하려면 애플리케이션 기본 사용자 인증 정보를 설정합니다. 자세한 내용은 로컬 개발 환경의 인증 설정을 참조하세요.

from google.cloud import discoveryengine_v1 as discoveryengine


def create_session(
    project_id: str,
    location: str,
    engine_id: str,
    user_pseudo_id: str,
) -> discoveryengine.Session:
    """Creates a session.

    Args:
        project_id: The ID of your Google Cloud project.
        location: The location of the app.
        engine_id: The ID of the app.
        user_pseudo_id: A unique identifier for tracking visitors. For example, this
          could be implemented with an HTTP cookie, which should be able to
          uniquely identify a visitor on a single device.
    Returns:
        discoveryengine.Session: The newly created Session.
    """

    client = discoveryengine.SessionServiceClient()

    session = client.create_session(
        # The full resource name of the engine
        parent=f"projects/{project_id}/locations/{location}/collections/default_collection/engines/{engine_id}",
        session=discoveryengine.Session(user_pseudo_id=user_pseudo_id),
    )

    # Send Session name in `answer_query()`
    print(f"Session: {session.name}")
    return session

데이터 스토어에서 세션 가져오기

다음 명령어는 get 메서드를 호출하고 데이터 스토어에서 세션을 가져오는 방법을 보여줍니다.

REST

데이터 스토어에서 세션을 가져오려면 다음 단계를 따르세요.

  1. 다음 curl 명령어를 실행합니다.

    curl -X GET -H "Authorization: Bearer $(gcloud auth print-access-token)" \
      -H "Content-Type: application/json" \
      "https://discoveryengine.googleapis.com/v1/projects/PROJECT_ID/locations/global/collections/default_collection/engines/APP_ID/sessions/SESSION_ID"
    

    다음을 바꿉니다.

    • PROJECT_ID: 프로젝트의 ID입니다.
    • APP_ID: 앱의 ID입니다.
    • SESSION_ID: 가져올 세션의 ID입니다.

Python

이 샘플을 사용해 보기 전에 Gemini Enterprise 빠른 시작: 클라이언트 라이브러리 사용Python 설정 안내를 따르세요. 자세한 내용은 Gemini Enterprise Python API 참고 문서를 참고하세요.

Gemini Enterprise에 인증하려면 애플리케이션 기본 사용자 인증 정보를 설정합니다. 자세한 내용은 로컬 개발 환경의 인증 설정을 참조하세요.

from google.cloud import discoveryengine_v1 as discoveryengine


def get_session(
    project_id: str,
    location: str,
    engine_id: str,
    session_id: str,
) -> discoveryengine.Session:
    """Retrieves a session.

    Args:
        project_id: The ID of your Google Cloud project.
        location: The location of the app.
        engine_id: The ID of the app.
        session_id: The ID of the session.
    """

    client = discoveryengine.SessionServiceClient()

    # The full resource name of the session
    name = f"projects/{project_id}/locations/{location}/collections/default_collection/engines/{engine_id}/sessions/{session_id}"

    session = client.get_session(name=name)

    print(f"Session details: {session}")
    return session

앱에서 세션 삭제

다음 명령어는 delete 메서드를 호출하고 데이터 스토어에서 세션을 삭제하는 방법을 보여줍니다.

기본적으로 60일이 지난 세션은 자동으로 삭제됩니다. 그러나 특정 세션을 삭제하려면 이 API 호출을 사용하여 삭제하세요. 그러나 특정 세션(예: 민감한 콘텐츠가 포함된 경우)을 삭제하려면 이 API 호출을 사용하여 삭제하세요.

REST

앱에서 세션을 삭제하려면 다음 단계를 따르세요.

  1. 다음 curl 명령어를 실행합니다.

    curl -X DELETE -H "Authorization: Bearer $(gcloud auth print-access-token)" \
      -H "Content-Type: application/json" \
      "https://discoveryengine.googleapis.com/v1/projects/PROJECT_ID/locations/global/collections/default_collection/engines/APP_ID/sessions/SESSION_ID"
    

    다음을 바꿉니다.

    • PROJECT_ID: 프로젝트의 ID입니다.
    • APP_ID: 앱의 ID입니다.
    • SESSION_ID: 삭제할 세션의 ID입니다.

Python

이 샘플을 사용해 보기 전에 Gemini Enterprise 빠른 시작: 클라이언트 라이브러리 사용Python 설정 안내를 따르세요. 자세한 내용은 Gemini Enterprise Python API 참고 문서를 참고하세요.

Gemini Enterprise에 인증하려면 애플리케이션 기본 사용자 인증 정보를 설정합니다. 자세한 내용은 로컬 개발 환경의 인증 설정을 참조하세요.

from google.cloud import discoveryengine_v1 as discoveryengine


def delete_session(
    project_id: str,
    location: str,
    engine_id: str,
    session_id: str,
) -> None:
    """Deletes a session.

    Args:
        project_id: The ID of your Google Cloud project.
        location: The location of the app.
        engine_id: The ID of the app.
        session_id: The ID of the session.
    """

    client = discoveryengine.SessionServiceClient()

    # The full resource name of the session
    name = f"projects/{project_id}/locations/{location}/collections/default_collection/engines/{engine_id}/sessions/{session_id}"

    client.delete_session(name=name)

    print(f"Session {name} deleted.")

세션 업데이트

세션을 업데이트하려는 이유는 다양합니다. 예를 들어 다음 중 하나일 수 있습니다.

  • 세션을 완료로 표시
  • 한 세션의 메시지를 다른 세션으로 병합
  • 사용자의 유사 ID 변경

다음 명령어는 patch 메서드를 호출하고 데이터 스토어에서 세션을 업데이트하는 방법을 보여줍니다.

REST

앱에서 세션을 업데이트하려면 다음을 실행하세요.

  1. 다음 curl 명령어를 실행합니다.

    curl -X PATCH \
      -H "Authorization: Bearer $(gcloud auth print-access-token)" \
      -H "Content-Type: application/json" \
      "https://discoveryengine.googleapis.com/v1/projects/PROJECT_ID/locations/global/collections/default_collection/engines/APP_ID/sessions/SESSION_ID?updateMask=state" \
      -d '{
            "state": "NEW_STATE"
          }'
    

    다음을 바꿉니다.

    • PROJECT_ID: 프로젝트의 ID입니다.
    • APP_ID: 앱의 ID입니다.
    • SESSION_ID: 업데이트할 세션의 ID입니다.
    • NEW_STATE: 상태의 새 값입니다(예: IN_PROGRESS).

Python

이 샘플을 사용해 보기 전에 Gemini Enterprise 빠른 시작: 클라이언트 라이브러리 사용Python 설정 안내를 따르세요. 자세한 내용은 Gemini Enterprise Python API 참고 문서를 참고하세요.

Gemini Enterprise에 인증하려면 애플리케이션 기본 사용자 인증 정보를 설정합니다. 자세한 내용은 로컬 개발 환경의 인증 설정을 참조하세요.

from google.cloud import discoveryengine_v1 as discoveryengine
from google.protobuf import field_mask_pb2


def update_session(
    project_id: str,
    location: str,
    engine_id: str,
    session_id: str,
) -> discoveryengine.Session:
    """Updates a session.

    Args:
        project_id: The ID of your Google Cloud project.
        location: The location of the app.
        engine_id: The ID of the app.
        session_id: The ID of the session.
    Returns:
        discoveryengine.Session: The updated Session.
    """
    client = discoveryengine.SessionServiceClient()

    # The full resource name of the session
    name = f"projects/{project_id}/locations/{location}/collections/default_collection/engines/{engine_id}/sessions/{session_id}"

    session = discoveryengine.Session(
        name=name,
        state=discoveryengine.Session.State.IN_PROGRESS,  # Options: IN_PROGRESS, STATE_UNSPECIFIED
    )

    # Fields to Update
    update_mask = field_mask_pb2.FieldMask(paths=["state"])

    session = client.update_session(session=session, update_mask=update_mask)
    print(f"Updated session: {session.name}")
    return session

모든 세션 나열

다음 명령어는 list 메서드를 호출하고 데이터 스토어의 세션을 나열하는 방법을 보여줍니다.

REST

앱의 세션을 나열하려면 다음을 실행하세요.

  1. 다음 curl 명령어를 실행합니다.

    curl -X GET \
      -H "Authorization: Bearer $(gcloud auth print-access-token)" \
      -H "Content-Type: application/json" \
      "https://discoveryengine.googleapis.com/v1/projects/PROJECT_ID/locations/global/collections/default_collection/engines/APP_ID/sessions"
    

    다음을 바꿉니다.

    • PROJECT_ID: 프로젝트의 ID입니다.
    • APP_ID: 앱의 ID입니다.

Python

이 샘플을 사용해 보기 전에 Gemini Enterprise 빠른 시작: 클라이언트 라이브러리 사용Python 설정 안내를 따르세요. 자세한 내용은 Gemini Enterprise Python API 참고 문서를 참고하세요.

Gemini Enterprise에 인증하려면 애플리케이션 기본 사용자 인증 정보를 설정합니다. 자세한 내용은 로컬 개발 환경의 인증 설정을 참조하세요.

from google.cloud import discoveryengine_v1 as discoveryengine


def list_sessions(
    project_id: str,
    location: str,
    engine_id: str,
) -> discoveryengine.ListSessionsResponse:
    """Lists all sessions associated with a data store.

    Args:
        project_id: The ID of your Google Cloud project.
        location: The location of the app.
        engine_id: The ID of the app.
    Returns:
        discoveryengine.ListSessionsResponse: The list of sessions.
    """

    client = discoveryengine.SessionServiceClient()

    # The full resource name of the engine
    parent = f"projects/{project_id}/locations/{location}/collections/default_collection/engines/{engine_id}"

    response = client.list_sessions(
        request=discoveryengine.ListSessionsRequest(
            parent=parent,
            filter='state="IN_PROGRESS"',  # Optional: Filter requests by userPseudoId or state
            order_by="update_time",  # Optional: Sort results
        )
    )

    print("Sessions:")
    for session in response.sessions:
        print(session)

    return response

사용자의 세션 나열

다음 명령어는 list 메서드를 호출하여 사용자 또는 방문자와 연결된 세션을 나열하는 방법을 보여줍니다.

REST

사용자 또는 방문자와 연결된 세션을 나열하려면 다음 단계를 따르세요.

  1. 다음 curl 명령어를 실행합니다.

    curl -X GET \
      -H "Authorization: Bearer $(gcloud auth print-access-token)" \
      -H "Content-Type: application/json" \
      "https://discoveryengine.googleapis.com/v1/projects/PROJECT_ID/locations/global/collections/default_collection/engines/APP_ID/sessions?filter=userPseudoId=USER_PSEUDO_ID"
    

    다음을 바꿉니다.

    • PROJECT_ID: 프로젝트의 ID입니다.
    • APP_ID: 앱의 ID입니다.
    • USER_PSEUDO_ID: 세션을 나열할 사용자의 가명 ID입니다.

Python

이 샘플을 사용해 보기 전에 Gemini Enterprise 빠른 시작: 클라이언트 라이브러리 사용Python 설정 안내를 따르세요. 자세한 내용은 Gemini Enterprise Python API 참고 문서를 참고하세요.

Gemini Enterprise에 인증하려면 애플리케이션 기본 사용자 인증 정보를 설정합니다. 자세한 내용은 로컬 개발 환경의 인증 설정을 참조하세요.

from google.cloud import discoveryengine_v1 as discoveryengine


def list_sessions(
    project_id: str,
    location: str,
    engine_id: str,
) -> discoveryengine.ListSessionsResponse:
    """Lists all sessions associated with a data store.

    Args:
        project_id: The ID of your Google Cloud project.
        location: The location of the app.
        engine_id: The ID of the app.
    Returns:
        discoveryengine.ListSessionsResponse: The list of sessions.
    """

    client = discoveryengine.SessionServiceClient()

    # The full resource name of the engine
    parent = f"projects/{project_id}/locations/{location}/collections/default_collection/engines/{engine_id}"

    response = client.list_sessions(
        request=discoveryengine.ListSessionsRequest(
            parent=parent,
            filter='state="IN_PROGRESS"',  # Optional: Filter requests by userPseudoId or state
            order_by="update_time",  # Optional: Sort results
        )
    )

    print("Sessions:")
    for session in response.sessions:
        print(session)

    return response

사용자의 세션 및 상태 나열

다음 명령어는 list 메서드를 호출하여 특정 상태에 있는 특정 사용자의 세션을 나열하는 방법을 보여줍니다.

REST

열리거나 닫혀 있고 특정 사용자 또는 방문자와 연결된 사용자의 세션을 나열하려면 다음 단계를 따르세요.

  1. 다음 curl 명령어를 실행합니다.

    curl -X GET -H "Authorization: Bearer $(gcloud auth print-access-token)" \
      -H "Content-Type: application/json" \
      "https://discoveryengine.googleapis.com/v1/projects/PROJECT_ID/locations/global/collections/default_collection/engines/APP_ID/sessions?filter=userPseudoId=USER_PSEUDO_ID%20AND%20state=STATE"
    

    다음을 바꿉니다.

    • PROJECT_ID: 프로젝트의 ID입니다.
    • APP_ID: 앱의 ID입니다.
    • USER_PSEUDO_ID: 세션을 나열할 사용자의 가명 ID입니다.
    • STATE: 세션의 상태입니다(STATE_UNSPECIFIED(닫힘 또는 알 수 없음) 또는 IN_PROGRESS(열림)).

Python

이 샘플을 사용해 보기 전에 Gemini Enterprise 빠른 시작: 클라이언트 라이브러리 사용Python 설정 안내를 따르세요. 자세한 내용은 Gemini Enterprise Python API 참고 문서를 참고하세요.

Gemini Enterprise에 인증하려면 애플리케이션 기본 사용자 인증 정보를 설정합니다. 자세한 내용은 로컬 개발 환경의 인증 설정을 참조하세요.

from google.cloud import discoveryengine_v1 as discoveryengine


def list_sessions(
    project_id: str,
    location: str,
    engine_id: str,
) -> discoveryengine.ListSessionsResponse:
    """Lists all sessions associated with a data store.

    Args:
        project_id: The ID of your Google Cloud project.
        location: The location of the app.
        engine_id: The ID of the app.
    Returns:
        discoveryengine.ListSessionsResponse: The list of sessions.
    """

    client = discoveryengine.SessionServiceClient()

    # The full resource name of the engine
    parent = f"projects/{project_id}/locations/{location}/collections/default_collection/engines/{engine_id}"

    response = client.list_sessions(
        request=discoveryengine.ListSessionsRequest(
            parent=parent,
            filter='state="IN_PROGRESS"',  # Optional: Filter requests by userPseudoId or state
            order_by="update_time",  # Optional: Sort results
        )
    )

    print("Sessions:")
    for session in response.sessions:
        print(session)

    return response